1. 서 론
분체소재은 화학, 기계, 토목, 신소재, 자원, 환경 등 산업 전반에 걸쳐 여러 분야에 활용되고 있으며, 이 중에서 특히 가용성 있는 분체소재의 제조과정이 대단히 중요하다1,2). 그러나 이들의 거동과 반응이 독특하여 제작과 취급이 쉽지 않다. 분체(혹은 분말)이 함유된 착색제품를 예로 들면, 효과적인 착색제품을 얻기 위해서는 안료 입자가 가급적 미세, 균일 그리고 안정된 상태로 매체 속에 분산되어야 한다1). 이를 위해서는 해당 안료 입자 아니라 이를 둘러싼 매체(수지․용제․첨가제)의 조성 및 특성에 관한 충분한 정보를 얻고 있어야 한다. 또한 가급적 저렴하고 공급이 용이한 원자재를 이용, 단순하고 고효율의 분체소재를 제조하는 것이 바람직하다1,2). 본 연구에서는 여러 분체원료 중 국내에서 생산되는 저급광물 중 하나인 견운모에 중점을 두었으며 이는 견운모 내 유가성분 회수나나 표면개질을 통한 고부가가치화를 타진하기 위함이다. 예를 들면 Kumar et al.(2019)이나 Singh et al.(2019)의 경우 견운모 분쇄를 통해 견운모 내의 칼륨성분을 회수하려 하였으며3,4), Hu et al.(2018)는 견운모가 플라스틱, 화장품, 세라믹, 코팅제 등 여러 분야에 활용된다는 점을 지적하먼서 견운모의 표면특성에 대한 연구를 수행하였다5). 그러나 첨가제 주입 여부에 따른 견웅모 분쇄산물의 시간적 특성 등의 연구는 전세계적으로 아직 미진한 실정이다.
본 연구에서는 활용성이 높은 국내 저급 광물 중 견운모에 초점을 맞추고 적절한 첨가제 혼입을 통한 분쇄로 미립화 분체를 조제하는 실험 Test를 진행하였다. 궁극적으로 분쇄공정 중에 이들 미분체의 표면을 개질하거나 복합화하여 특별한 기능성을 부여하는 등 미립자의 고부가가치 및 활용성을 극대화하고자 한다.
2. 실험 재료 및 방법
Table 1에는 본 실험에 사용한 3개의 견운모 광물시료 화학 분석치를 표시하였다. 본 연구에서 사용한 견운모 광상은 경상누층군의 가송동측에 관입된 규장암반에 배태된 열수 변질 광상이다. 견운모의 산상은 가송동층에 속하는 혼펠스와 규장반암의 접촉부에서 흔히 나타나며, 파쇄대나 단층이 형성된 곳에서 맥상, 렌츠상 또는 구상의 형태로 부존되어 있는 것이 일반적이다. 규장암반의 관입 후에 초래되는 잔여 열수용액의 상승으로 열수 대류계가 형성되어 단층이나 파쇄대 또는 구조적으로 약한 약선대나 열극을 따라 열수용액이 상승되어 모암을 용해시키거나 화학적인 변화를 일으켜 변질작용을 일으키게 된 것이다.
Table 1.
The chemical composition of the sericite for this study
견운모와 더불어 수반되는 비금속광물로는 석영외에 형석을 들 수 있으며 금속광물로는 창연, 방연석, 섬아연석, 황동석 및 황철석 등의 광물이 인지된다. 견운모 광석시료 중 분상 광석은 백색계통이며, 고화된 광석은 연한 초록색을 띈다. 고화된 광석을 육안으로 보면 입도가 1 mm 이하로부터 수 cm에 이르기까지 다양하였다. 광석의 주성분광물은 당연히 견운모이며, 부성분광물로는 인회석이나 티탄철석 등이 함유되어 있었다. 시료의 형태를 전자현미경으로 관찰해 보면 견운모는 비늘같은 형태를 보이며, 입자의 크기는 대체로 10 μm 이하가 많았다.
견운모의 표면 물성 개질 및 미분쇄 산물을 얻기 위하여 독일 Retch사의 유성형 볼밀(Retsch, Germany)을 사용하였다. 유성밀은 자체지지축에 대하여 축의 전달자부분에 회전용기가 있고, 용기 축의 회전에 의한 구심력(혹은 원심력)에 의해 분쇄가 진행된다. 유성밀의 분쇄매체로는 zirconia ball이 사용되었는데 크기는 2 mm로 하였으며 볼의 충전률은 J=0.5, 그리고 장입량은 볼 충전률에 40%으로 설정하으며, 건식공정으로 수행하였다3,4).
본 연구에서는 운모․견운모를 모입자로 하고 여기에 첨가제(이산화티탄 및 질산리튬)의 주입(혹은 미주입)을 통한 분쇄 및 표면개질 효과를 분석하였다. 이때, 첨가제로 투이되는 이산화티탄 그리고 질산리튬의 입자는 견운모의 평균크기와 동일한 입자크기를 사용하였다. 여기에는 궁극적으로 미분체 제조시 운모․견운모 특성을 유지하면서 박리효과를 극대화시켜 기능성 재료로서의 가치를 제고하려는 의도가 있다. 본 연구에서 얻어진 분쇄산물의 물성 측정 전, 첨가제가 있는 시료는 먼저 증류수로 세척하고 여과하여 잔류 첨가제를 제거하였다. 이 후 시료를 60℃에서 24시간 건조하고, 사염화탄소(CCl4)로 분산시킨 후 초음파를 통한 추가적인 분산을 통해 입자간 응집을 최소화시킨 상태로 분쇄산물의 물성을 평가하였다.
이후 입자간 응집을 확인하기 위해 해쇄실험을 실시하였다. 해당 실험에서는 우선 탈이온 상태의 증류수에 분산제를 충분히 용해시킨 후 분산액 200 cc에 0.05 g의 분말시료을 넣고, 300 W 초음파 발진기(UCP-10, JEIO Tech, Korea)에 의하여 시간 별 해쇄 실험결과를 관찰하였다.
2.1. 분쇄산물의 물성분석
각 공정 단위별 분쇄 생성물의 입도분석은 분쇄산물을 Sodium hexameta-phosphate 0.50%의 수용액에 분산시킨 후, 레이저 회절분석 기반의 입도측정장비(입도측정기, Sald-2001, Shimadzu사, 일본)로 입도를 측정하였다. 비표면적은 질소 흡착작용에 의한 BET법 원리를 적용한 기기(Nova 1000, Quanta-chrome, USA)를 이용하여 측정하였다. 분쇄산물을 주사식 전자 현미경(Scanning Electronic Microscope, JEOL사) 및 화상 입자 분석기(Image-Pro Plus, Hirox사)을 이용하여, 분쇄시간별 입도 및 현상변화를 관찰하였다. 주사현미경 시료는 초음파로 분산시키고 Holder에 안착시킨 후 시료표면을 약 200 Å 두께의 금으로 coating하여, 최대 5만배까지 관찰이 가능하도록 하였다. 한편, 개별 입자의 형상 및 입자간 거동을 관찰하기 위해서 원 시료를 탭핑으로 수 분 동안 분산시킨 후 slide glass 상단에 위치시켰다. 본 관찰에서의 이 때 현미경은 150배 및 600배의 렌즈를 사용하여 탭핑 시 분산거동을 관찰하였으며, 난반사에 의한 광학오차를 줄이기 위하여 rotator를 사용하여 360° 전방향에서의 시료 표면을 관찰하였다. 분쇄 시 입자의 내부 결정구조 등은 X선 회절 분석기(X'pert MPD type, Phillips, Holland)로 관찰하였다. 본 기기의 가속 전압은 40 kV–25 mA이고, Monocrometer로는 Graphite를 이용하였다. 본 연구에서는 X-선 회절분석을 통하여 주로 분쇄시간에 따른 결정 층간거리와 결정구조 변화도(무정형화도) 등을 평가하였다. 마지막으로 분쇄산물의 액중 표면전위의 변화는 제타전위측정기(Zeta-meter system 3.0사, Zeta-meter co., USA)를 통하여 평가하였다. 이를 위해 분쇄 시간별 분쇄 산물을 침강시켜 이 중 약 3 μm 이하의 입자 회수 후 이를 제타전위 측정기에 주입하였다. 측정에 필요한 현탁액 농도는 0.02 wt%였으며 현탁액 용매는 증류수로 하였다. 용매의 pH는 염산 1 M 용액과 수산화나트륨 1 M를 이용해 조절하였다. 제타전위 측정은 각 시료 및 pH 마다 10회 이상 측정하였으며, 이들의 평균값을 취하여 결과 그래프에 표기하였다.
3. 결과 및 고찰
견운모 단독 혹은 견운모+첨가제 시료를 전단력 및 구심력에 의한 분쇄를 통해 산출된 입자의 형상을 이미지화하여 관찰하였다. 그 결과, 분쇄 전 견운모 입자시료를 보면 가장자리가 날카롭고 불규칙한 형상을 보이고 있으나, 분쇄시간이 경과될수록 입자가 미세화되며 편평도(Aspect Ratio)가 1에 가까운 구형의 형상에 근사하였다. 한편, 구심력이 주된 유성밀의 미분쇄 산물에서는 분쇄시간이 경과되면서 어떤 경우에는 미립자간에 응집현상이 두드러지며, 응집․압축에 의하여 분쇄산물이 더 조립화되고 있는 양상을 관찰할 수 있었다5,6,7). Figs. 1-3은 각 산물에 대한 분쇄 시간별 입자 형상의 변화를 나타내는 전자현미경 사진이다.
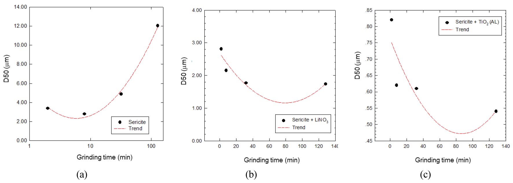
Fig. 4는 유성밀의 이용한 견운모 단독 및 견운모+첨가제의 분쇄 시 시간에 따른 분쇄산물의 입도분포의 시간적 변화를 나타낸 것이다. 본 이미지에서 견운모 단독 분쇄시 초기에는 D50이 약 3 μm 정도까지 입도가 감소하다가 대략 10분 후부터 입도 증가하여 분쇄 시간 128분 경에는D50이 10 μm를 상회하는 것으로 관찰되었다. 즉, 구심력 기반 분쇄에서는 약 10분의 분쇄시간 기준으로 높은 분쇄 효과를 보이고 있다가, 20분이 경과 후 입도분포가 이중 분할형태를 보였으며 이 후 분쇄시간이 증가하면 입도가 수 μm대의 미분영역에서 > 10 μm대의 조분영역으로 이동되었다. 이러한 평균입도 증가는 분쇄시간 경과에 따라 밀 내의 분쇄산물 미립자 간 강한 응집력으로 응집이 형성되었기 때문으로 생각된다. 한편, Fig. 4(b)에서는 LiNO3 첨가시 분쇄시간에 따른 견운모 D50의 변화를 보여주는데 분쇄시간 32분까지 D50이 2 μm 이하까지 감소하다가 128분까지 D50이 아주 약간 감소하였다. Fig. 4(c)에서는 이산화티탄 첨가 시 분쇄시간 증가에 따라 빠른 입도감소 현상을 나타내었는데, 이는 미세한 첨가제로 인해 견운모입자 표면의 개질이 진행되어 복합입자가 생성되고 있기 때문인 것으로 추론된다5,6). 참고로 복합입자의 성상은 본 연구에서는 정확하게 규명되지 않았지만, 아마 응집된 첨가제이거나 견운모와 첨가제로 인해 생성된 반응산물인 것으로 추측된다.
Figs. 1-3은 이러한 분쇄 시간별 분쇄 입자의 분쇄 형상을 보여 주는 전자현미경 사진을 의미하는 것이다. 이중 Fig. 4(a)에서의 견운모 단독 분쇄 조건의 시간에 따른 생성물의 보면 분쇄시간 약 10분이 경과 후부터는 입자가 수 μm 정도로 미립화되며, 약 30분 경과 후부터는 미립자의 응집 후 서브마이크론 크기의 초미립체가 생성되고 있음을 확인하였다(Fig. 1). 이러한 초미립자 생성은 첨가제 주입시 더 두드러졌으며(Figs. 2-3 및 Figs. 4(b-c) 참조) 이것이 분쇄시간에 따른 D50의 지속적 감소에 영향을 끼쳤을 것으로 본다. 상기 입도변화 및 전자현미경 사진을 보면 염류 조제를 첨가하였을 때 분쇄가 보다 효과적인 것으로 보인다.
Fig. 5에 첨가제 혼합 조건에서의 분쇄산물 비표면적 및 밀도변화를 나타내었다. Fig. 5(a-1) 및 Fig. 5(b-1)에서 LiNO3 첨가의 경우 분쇄시간에 따라 비표면적이 증대되었던 반면 밀도는 감소하였다. 입도의 감소에 따라 비표면적이 증대되는 것은 직관적으로 이해가능하나 밀도 감소는 통상적인 물리적 상식과는 상반되는데6), 그 이유는 전술한 바와 같이 장시간 분쇄 시 초미립의 일차입자 생성 후 일차입자가 다시 미분쇄되고 이들 미분쇄 입자 간 응집으로 인하여 밀도가 작은 응집체를 형성하기 때문인 측면이 있는 것으로 판단된다. 한편 Fig. 5(a-2) 및 Fig. 5(b-2)에서 나타낸 TiO2 첨가의 경우 분쇄시간 40분 전까지 증가추세지만 이후에는 비교적 일정하였으며 밀도는 추세가 명확하지 않았다. 추가로, 분쇄산물의 X선 회절분석결과, 분쇄 원료의 무정형화가 진행되고 있는 것으로 보인다. 특히 각 결정면의 무정형화 비교 결과, 층간 분쇄가 주로 일어나고 있는 것으로 추측된다.
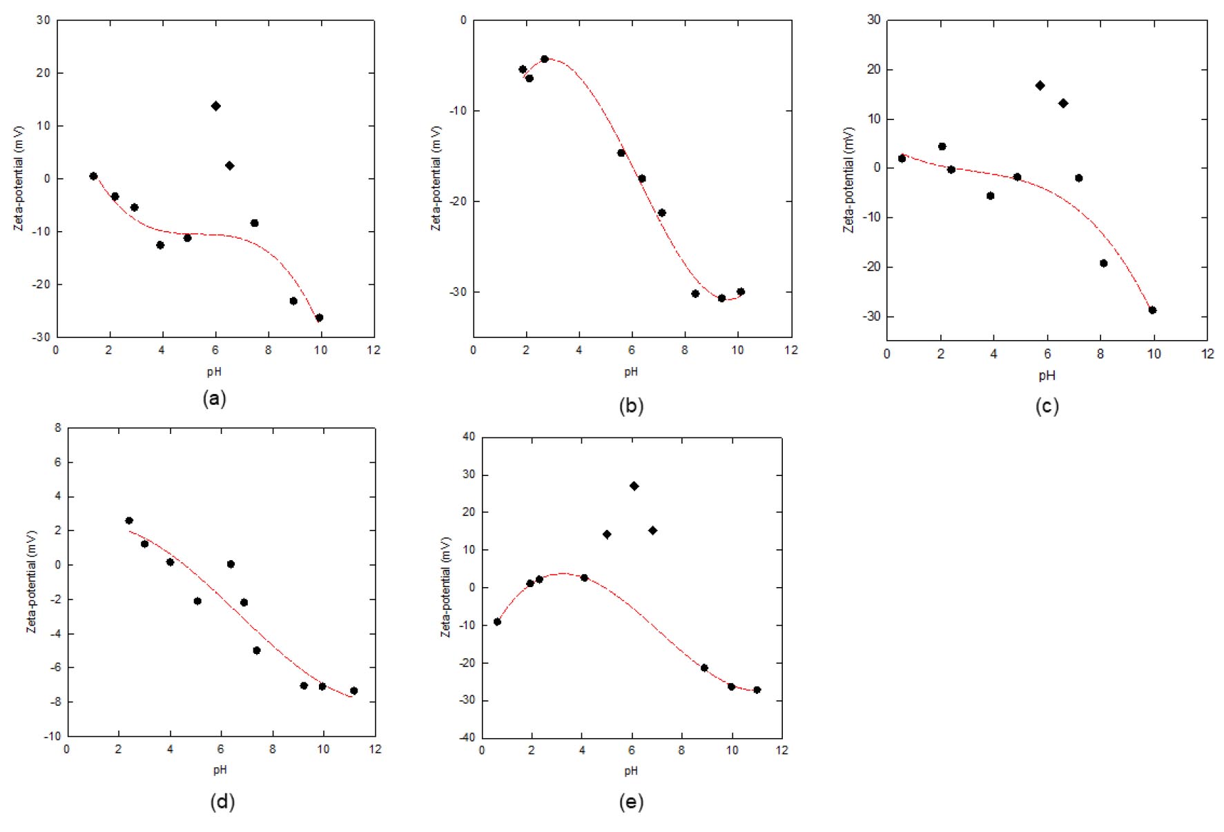
응집에 따른 표면전위의 영향을 파악하기 위해 견운모 단독 혹은 견운모+첨가제의 분쇄 초기(2분) 및 말기(128분) 분쇄물의 제타전위를 측정하였다. 측정대상 pH 범위는 pH=1부터 11로 설정하였다. 견운모 단독의 제타전위 측정결과, 본 실험에서 사용된 견운모의 등전점이 강산성 영역 내에 있고 대체적으로 음이온을 띄고 있어 기존 연구에서 제시되었던 값 및 경향과 대체로 유사하였다5,6,7). 그러나 중성 부근에서 견운모 시료의 전위가 양이온으로 역전되는 경우가 관찰되었는데(Figs. 6(a-c) 참조) 이는(중성부근에 표면이 양이온으로 하전된) 시료 혹은 용액내 내 불순물이 음이온으로 하전된 견운모 표면에 강하게 흡착될 가능성이 있기 때문으로 생각되나6,7), 이는 향후 추가적인 연구가 필요하다. 그 외, LiNO3혹은 TiO2 첨가제와 혼합 분쇄 후 2분 정도 경과 시에는 중성영역에서의 전하역전 현상이 현저하지 않았으며 pH 증가에 따른 제타전위의 변화가 견운모 단독 시료의 그것과 비교할 때 대체로 완만해 보인다. 반면, 분쇄 128분 경과 시에는 pH에 따른 전하의 변화가 급격하였다. 전반적으로 보면(중성부근에서의 전위 역전발생을 제외하고) 견운모 표면은 대체로 음이온으로 하전되었으며, 이는 pH가 염기성 영역으로 갈수록 표면전위의 음이온성이 더욱 큰 것으로 보인다. 첨가제의 영향은 제타전위의 값 차이로부터 발견되는데 LiNO3 첨가 후 분쇄 2분을 제외하고는 첨가제 주입 시 견운모 원광의 경우보다 제타전위가 양의 방향으로 변화한 것을 볼 수 있었다. 그리고 분쇄 초기보다 후기에 이러한 경향이 더 현저하였다. 이는 추후 더 연구가 필요하겠지만 아마도 원광과 첨가제 등이 서로 다른 극성 혹은 전위값을 띄고 있기 때문이라고 생각되며, 이는 복합분말 응집체 형성에도 영향을 미칠 것으로 생각된다. 특히 pH에 따른 제타전위 변동이 급격한 견운모 단독 시료의 경우 조대 응집체 형성에 유리한 반면, 제타전위가 보다 완만한 견운모+TiO2 시료의 경우 상대적으로 균일한 제타전위를 보여 응집체 형성이 부진하고 분쇄시료의 입도가 작을 것이라고 생각될 수 있다. 이에 관련된 정확한 분석에는 추가 연구가 필요하다고 판단된다. 마지막으로 해쇄실험 결과에 따른 D50 입도 변화 양상을 Figs. 7(a-c)에 나타내었다. 견운모 단독 및 첨가제 주입시 모두 초음파 가진 시간 50분까지의 입도 감소가 두드러졌는데, 이는 장기 분쇄 시 형성된 응집체가 해당 시간대에 해쇄되었음을 암시한다. 또한 가진시간 50분 이후부터는 입도가 크게 변화하지 않아 가진 시간 초기에 해쇄가 활발한 것으로 판단된다.
4. 결 론
견운모와 첨가제를 주입하여 구심력 기반의 유성밀으로 분쇄한 결과 분쇄 시간 10분 이내에 각각 D50 2~3 μm(견운모 단독 혹은 견운모+LiNO3) 및 0.5~0.6 μm(견운모+TiO2)의 분쇄 산물이 취득되었다. 흥미로운 점은 견운모 단독 분쇄시 분쇄시간 증가에 따라 응집으로 인하여 D50의 증가가 관찰된 반면, 첨가제 주입 시 초기 분쇄시간 경과에 따른 입도감소가 두드러졌으나 응집은 상대적으로 두드러지지 않았다. 제타전위 측정결과 첨가제 주입 시 pH에 따른 제타전위 변화가 분쇄 초기에는 보다 완만한 경향을 보였으나 분쇄 후기에는 pH-제타전위 상관관계가 견운모 단독 분쇄와 유사한 경향을 띠는 것으로 관측되었다. 첨가제 주입 혹은 미주입시 견운모의 제타전위 변화 거동과 응집으로의 영향은 다소 복잡하며 추가연구가 필요하다고 판단되나 pH에 의한 제타전위 변동 크기가 응집체의 형셩에 다소 영향을 주는 것으로 추측된다. 또한 초음파 가진을 통한 해쇄실험 결과 해쇄개시 후 50분 정도까지만 해쇄로 인한 D50 입도 감소가 현저하였으며 그 이후에는 D50의 변화가 두드러지지 않았다.









