1. 서 론
일반적으로 바나듐 회수는 바나듐을 함유한 원료를 NaCl, Na2CO3, Na2SO4과 같은 알칼리 금속 염과 함께 고온에서 배소한 후 연속하여 수침출, 침출용액 정제 및 농축 그리고 회수 등의 일괄 공정을 통하여 이루어진다1,2,3). 이 중, 마지막 단계인 회수단계를 통하여 얻어지는 암모늄바나데이트(NH4VO3)는 바나듐을 추출하는 화학공정에서 중요한 중간체이며, 촉매나 안료 같은 바나듐 물질 제조에서 중요한 역할을 한다4,5). 또한 바나듐 함유 수용액으로부터 NH4VO3의 결정화는 바나듐화합물의 정제에서 아주 중요하기 때문에 과학적으로나 산업적으로 관심이 크다6,7). 이러한 암모늄메타바나데이트는 염화암모늄(NH4Cl) 또는 황산암모늄((NH4)2SO4)과 같은 암모늄염을 바나듐 함유 수용액에 첨가하여 알칼리 조건에서 침전반응을 시키고, 생성된 침전물을 세척, 여과하는 공정을 통하여 공업적인 생산이 이루어지고 있다8).
본 연구진에 의한 이전의 연구결과에 의하면9), 바나듐 함유 수용액은 pH 9 정도 부근에서는 결정구조가 (NH4VO3)인 암모늄메타바나데이트, 그리고 바나듐 함유 수용액의 pH를 황산으로 조절하여 수용액 pH 6 이하에서 침전시키면, 결정구조가 ((NH4)2V6O16)인 암모늄폴리바나데이트가 침전되는 것을 알 수 있었다. 또한 암모늄폴리바나데이트는 수용액 pH 2, 침전온도 80~90 ℃, 그리고 암모늄메타바나데이트는 수용액 pH 9, 침전온도 40 ℃에서 침전이 용이하게 일어나는 것을 알 수 있었다. 특히 소듐바나데이트 수용액에 염화암모늄을 첨가하여 암모늄메타바나데이트를 침전시킬 때, 수용액 pH가 감소할수록, 염화암모늄 첨가량 그리고 수용액의 바나듐 함량이 증가할수록 침전률이 증가하였다. 또한 침전온도에 따른 암모늄메타바나데이트 용해도 차이에 의하여, 바나듐 함량 10,000 mg/L 수용액에서는 침전온도가 암모늄메타바나데이트 침전에 영향을 미치며, 침전온도 증가에 따라 침전반응속도가 감소하였으며, 바나듐 함량 30,000 mg/L 이상의 고농도 수용액에서는 침전온도 변화가 침전반응속도에 큰 영향을 미치지 못하는 결과를 얻을 수 있었다.
암모늄메타바나데이트 침전반응에 관한 연구들은 실험조건에 따른 암모늄메타바나데이트 침전률과 불순물이 순도에 미치는 영향 등에 대하여 주로 발표되었고, 이와 같은 여러 연구들 중에서 속도론적 연구는 Du 등을 통하여 이루어졌는데10), 일정한 수용액 pH에서 암모늄메타바나데이트의 용해도와 침전온도를 변수로 핵생성 유도기간을 이용하여 핵생성에 대한 속도론적 연구를 수행하였다. 핵생성 유도시간을 과포화도 비(supersaturation ratio)의 함수로 하여 얻은 핵생성 속도론적 해석을 통하여 침전온도 증가는 핵생성 속도를 증가시키며, 이러한 결과로부터 77~110 kcal/mol의 활성화 에너지를 구할 수 있었다. 이와 같은 연구결과는 수용액에서 핵생성 과정을 통하여 생성되는 고체들로 인한 수용액의 혼탁도 변화를 통하여 핵생성 속도론적 연구를 수행한 내용이다. 따라서 암모늄메타바나데이트 침전반응 화학식으로부터 유도된 침전반응 속도방정식을 이용하여 속도론적 연구를 수행한 결과들은 없는 것으로 사료된다.
일반적으로 반응속도론적 연구는 반응시간에 대한 미 반응물 농도 또는 반응된 농도 측정을 통하여 반응시간에 대한 반응률 거동 곡선을 얻고, 이러한 실험데이터를 반응속도 식에 대입하여 반응속도상수 및 활성화 에너지 등의 값을 구하여 속도론적 해석을 수행한다. 그러나 침전반응에서는 침전반응 시간에 대한 반응물의 농도를 정확하게 측정하기가 용이하지 않다. 그 이유는 침전시간에 대하여 수용액에 미 반응된 반응물의 농도 측정을 위하여 반응 수용액에서 침전물을 제거해도 수용액에 남아있는 반응물들의 침전반응이 계속 일어나기 때문이다. 따라서 침전반응을 인위적으로 중지시킬 수 있는 방법이 수반되어야 한다.
그러므로 본 연구에서는 소듐바나데이트 수용액에서 염화암모늄을 첨가하여 암모늄메타바나데이트를 침전시킬 때, 침전반응을 임의로 중단 시켜, 침전반응 시간에 따른 미 반응 바나듐 농도 측정을 통하여 암모늄바나데이트 침전률 거동변화를 알아보았으며, 이 결과로부터 암모늄메타바나데이트 침전반응 속도론적 연구를 수행하였다. 또한 침전반응의 열역학적 특성치와 침전반응 속도론적 고찰을 통하여 암모늄메타바나데이트 침전반응 특성을 알아보고자 하였다.
2. 실험장치 및 방법
암모늄메타바나데이트 침전실험에 사용된 반응기는 응축기가 장착된 250 mL pyrex 반응기였으며, 온도조절기가 장착된 핫플레이트를 이용하여 침전반응온도를 조절하여 마그네틱 바로 반응물을 교반시켰다.
실제로 바나듐광으로부터 바나듐을 회수하기 위해서는 바나듐광의 염배소-수침출-바나듐 회수 단계를 거치는데, 염배소 바나듐광의 수침출을 거쳐 얻은 소듐바나데이트 수용액의 pH는 10~12 정도의 알칼리 수용액이다. 그러므로 본 연구에서 암모늄메타바나데이트 침전실험에 사용된 소듐바나데이트 수용액은 두 가지를 제조하여 침전실험에 사용하였는데, 하나는 수산화나트륨 수용액에 적당량의 V2O5를 용해시켰으며, 이때 수산화나트륨의 양은 바나듐 대비 1.25당량이었다. 이렇게 제조된 소듐바나데이트 수용액 pH는 9.3을 나타내었다. 다른 하나는 NaVO3를 증류수에 용해시켜 사용하였는데, 이때 수용액의 pH를 8로 조절하였다. 암모늄바나데이트 침전실험은 앞에서 언급한 반응기에 적정량의 소듐바나데이트 수용액을 투입하여 원하는 온도로 유지시킨 후, 적정량의 염화암모늄을 투입하면 침전반응은 개시된다.
Fig. 1은 40 ℃ 온도에서 바나듐 함량이 10,000 mg/L인 수용액에 2당량의 염화암모늄을 첨가하여 암모늄바나데이트를 침전시킬 때 수용액 pH에 따른 침전률을 보여주고 있는데, 수용액 pH 2에서는 암모늄바나데이트 침전이 이루어지지 않고 있음을 알 수 있다9). 그러므로 이러한 성질을 이용하여 침전시간에 따라 시료를 채취한 후 시린지 필터로 침전된 암모늄메타바나데이트를 여과한 후, 연속하여 여과여액을 pH 2 황산수용액에 투입하여 희석함으로써 침전반응을 중지시킬 수 있었으며, 이 때 수용액의 미 반응된 바나듐 농도를 측정하였다.
본 실험에 사용된 소듐바나데이트(NaVO3, ALDRICH, 99.9%), 오산화바나듐(V2O5, 대정화금, 99%), 염화암모늄(NH4Cl, Junsei, 98.5%)은 Extra Grade급 시약을 사용하였으며, 수용액의 바나듐 농도 측정은 ICP-AES(inductively coupled plasma atomic emission spectroscopy, Optima 8300, PerkinElmer)를 이용하였다.
3. 결과 및 고찰
3.1. 암모늄메타바나데이트 침전반응
Fig. 2는 침전온도를 각각 상온, 30 ℃, 40 ℃로 조절하여 바나듐 함량 10,000 mg/L인 수용액(pH 9.3)에 염화암모늄을 침전반응식 (1)을 기준으로 2당량 첨가하여 침전반응을 수행하면서 얻은 침전시간에 대한 침전률 거동곡선을 보여주고 있다.
실험방법에서 설명한 바와 같이, 침전시간에 대하여 미반응 바나듐 양을 측정하여 아래 식 (2)에 대입하여 암모늄메타바나데이트 침전률을 구하였다. 여기서 C0는 초기 바나듐 농도이며, Ct는 반응시간 t에서 미 반응된 바나듐 농도를 나타낸다.
이 결과에 의하면, 침전온도가 증가함에 따라 침전속도는 감소하며, 침전 4시간 후에 침전률은 침전온도 25 ℃에서는 92%, 그리고 45 ℃에서는 73%로 침전률도 현저하게 감소한다. 이와 같이 침전온도 증가에 따라 침전률이 감소하는 이유는 수용액에서 온도에 따른 암모늄바나데이트의 용해도 변화에 기인한다. 즉, Table 1과 같이 수용액 온도가 20 ℃에서 40 ℃로 증가함에 따라 암모늄메타바나데이트 용해도는 거의 3배 정도 증가하는 것을 알 수 있다. 그리고 수용액 pH와 온도가 증가함에 따라 식 (3)과 같이 암모늄 이온은 암모니아로 분해된다.
Table 1.
The solubility of NH4VO3 in water with temperature
| Temperature [℃] |
solubility of NH4VO3 [g/100g H2O] |
| 20 | 0.48 |
| 30 | 0.84 |
| 40 | 1.32 |
| 60 | 2.42 |
Fig. 3은 수용액 pH 변화에 따른 수용액의 NH4+와 NH3 분율을 나타내고 있는데11), 수용액 pH가 증가함에 따라 암모늄 이온은 가수분해 되어 암모니아 기체로 분해되며, 따라서 이로 인해 침전반응에 참여하는 암모늄 이온이 감소하는 것을 알 수 있다. 또한 식 (4)로부터 특정 수용액 온도와 pH에서 암모늄 이온의 분해율을 계산할 수 있다12).
식 (4)를 통하여, 본 실험조건인 소듐바나데이트 수용액 pH 9.3와 8.0 그리고 수용액 온도에 대한 암모늄 이온 분해율을 계산하여 Table 2에 나타내었다.
Table 2.
The decomposition ratio of NH4+ and NH3 at pH 9.3 and 8.0
| Temperature [℃] | pH 9.3 [%] | pH 8.0 [%] |
| 25 | 53.51 | 5.45 |
| 35 | 69.71 | 10.34 |
| 45 | 81.50 | 18.09 |
Table 2에 따르면, 수용액 pH 9.3, 온도 45 ℃에서 암모늄 이온의 분해율은 81% 이상임을 확인할 수 있다. 따라서 Fig. 2와 같이 수용액 pH 9.3에서는 침전온도 증가에 따라 암모늄메타바나데이트 용해도 그리고 암모늄 이온의 분해율이 크게 증가하기 때문에 침전반응에 참여하는 반응물의 농도 감소로 인하여 침전반응속도와 침전율이 크게 감소하는 것을 알 수 있다. 따라서 소듐바나데이트 수용액에 염화암모늄 첨가에 의한 암모늄메타바나데이트 침전반응에서 침전온도에 의한 속도론적 해석을 위해서는, 주어진 모든 온도에서 침전반응에 참여하는 수용액의 바나데이트 이온(VO3–)과 암모늄 이온(NH4+) 양을 일정하게 조절하는 것이 중요하다고 사료된다.
따라서 우선 암모늄 이온의 분해 영향을 최소화하기 위해서 수용액의 pH를 낮추는 것이 필요하다. 실제로 황산첨가에 의하여 수용액 pH를 7 이하로 떨어뜨릴 수 있지만, 이러한 경우에는 침전물이 암모늄폴리바나데이트 결정구조를 갖게 되므로, 암모늄메타바나데이트 결정을 얻기 위해서는, 수용액의 pH 8 정도가 가장 낮은 수용액 pH 영역이라 할 수 있다9). 그러므로 본 연구에서는 침전제인 암모늄 이온의 분해를 최소화하기 위하여, 실험방법에서 설명한 바와 같이, 소듐바나데이트를 물에 용해시켜 수용액의 pH를 8로 유지시킨 후, 바나듐 농도를 10,000 mg/L로 하여 Fig. 2와 같은 조건에서 암모늄메타바나데이트 침전실험을 수행하였으며, 이 결과를 Fig. 4에 나타내었다. Fig. 4에 의하면, 침전온도 증가에 따라 침전률은 감소하나, 그 감소폭은 Fig. 2와 비교하여 현저하게 줄어드는 것을 알 수 있다. 그러므로 수용액 pH 9.3과 비교하여, 수용액 pH 8에서는 암모늄 이온의 분해율이 급격히 감소하기 때문에 주어진 침전온도에서 침전률이 증가하는 것을 알 수 있다.
그러나 Fig. 4의 결과에서는 여전히 침전온도 증가에 따라 침전속도는 감소하고, 이러한 원인은 주로 온도에 따른 암모늄메타바나데이트 용해도 증가가 침전반응 속도에 영향을 미치기 때문이라 사료된다. 그러므로 주어진 실험조건에서 정확한 침전반응을 알아보기 위해서는 수용액의 pH 조절에 의한 암모늄 이온의 분해율 영향을 줄여야 하며, 이와 더불어 수용액 온도에 따른 암모늄메타바나데이트 용해도에 해당하는 바나듐 농도를 보정하여 침전반응에 참여하는 바나듐의 양이 온도에 상관없이 일정하도록 조절하는 것이 필요하다.
암모늄메타바나데이트 침전반응에 대한 열역학적 특성을 알아보기 위하여, 침전반응식에 대한 표준반응열과 깁스자유에너지 값을 알아보았다. 일반적으로 주어진 반응식에서 해당 반응의 표준반응열(△H0T)은 온도 T에서 표준상태에 있는 반응물이 서로 반응하여 같은 온도 T에서 표준상태에 있는 생성물이 될 때에 나타내는 엔탈피 변화로 정의할 수 있다. 그러므로 반응식 (1)과 같은 암모늄메타바나데이트의 침전 반응식에 대하여 표준 반응열은 다음과 같이 식 (5)로 나타낼 수 있으며, 표준 자유 깁스 에너지(Gibbs free energy)는 식 (6)과 같다13).
식 (5)에 각 물질에 대한 표준반응엔탈피를 대입하면 표준반응열 △H0298 = –4.01 kJ/mol로서 본 암모늄메타바나데이트 침전반응은 발열반응이며, 또한 식 (6)에서 각각의 표준반응자유에너지를 대입하면 △G0298 = –9.39 kJ/mol로 침전반응은 자발적 반응임을 알 수 있다14). 그러므로 본 연구에서는 침전반응이 정반응만 일어난다고 가정하여 암모늄메타바나데이트 침전반응의 속도론적 고찰을 수행하였다.
침전온도가 증가함에 따라 암모늄메타바나데이트 용해도가 증가하기 때문에, 일정량의 소듐바나데이트 농도에서 침전온도의 증가는 침전반응에 참여할 수 있는 바나듐의 양이 감소하는 결과를 초래한다. 그러므로 주어진 반응조건에서 동량의 반응물이 침전반응에 참여할 수 있도록, 소듐바나데이트 농도를 식 (7)과 같이 초기농도(C)에서 용해도(C*)를 빼준 값[ΔC = C – C*]으로 하였다. 그리고 수용액 pH와 온도에 따른 암모늄 이온의 분해량([(NH4+)T] 그리고 ΔC에 대한 염화암모늄 첨가량[(NH4Cl)]을 고려하여, 총 염화암모늄 투입량[[(NH4Cl)T]을 결정하였다.
암모늄메타바나데이트 침전반응(반응식 (4) 참조)을 비가역 2차 반응이라고 가정하면, 침전반응속도 식은 다음과 같이 유도될 수 있다. 이 때, A는 NaVO3, B는 NH4Cl 이다.
이와 같이 기본 반응속도 식 (12)에서, 식 (7), (8)과 같이 침전반응에 참여하는 반응물들이 정량[ΔC, [(NH4Cl)]이 될 수 있도록 고려하면, 반응속도 식 (12)는 다음과 같이 표현될 수 있다.
여기서, CA0는 소듐바나데이트 용액에서 총 바나듐 농도[mg/L], [CA0]0는 실제로 침전반응에 참여하는 바나듐 농도[mg/L], Ct는 시간 t에서 미반응 바나듐 농도[mg/L], CAt는 시간 t에서 실제 반응에 참여하게 될 바나듐 농도[mg/L], 그리고 CB0는 실험조건에서 분해되는 암모늄 이온량을 고려하여 초기 투입되는 염화암모늄 농도[mg/L]이다.
따라서 침전온도에 따라 암모늄메타바나데이트 용해도 및 암모늄 이온 분해율을 고려하여, 초기 소듐바나데이트 농도 그리고 염화암모늄 첨가량을 Tables 3, 4와 같이 계산하여, 반응물의 투입량을 결정하였다. Table 3을 보면, 침전온도별 암모늄바나데이트 용해도를 고려하여, 온도 증가에 따라 초기 투입되는 바나듐 양은 증가하며, 실제 침전반응에 참여하는 바나듐 농도는 10,000 mg/L가 되게 하였다. 또한 침전제로 첨가되는 염화암모늄은 실제 반응에 참여하는 2.1 g에 침전반응 후에 수용액에 잔류하여 암모늄메타바나데이트의 용해도를 낮추기 위한 전체 용액의 약 2 wt%에 해당하는 4 g을 합한 6.1 g을 침전온도별로 분해되는 암모늄 양을 고려하여 투입하였다10).
Table 3.
Concentration of vanadium in solution with temperature
Table 4.
Amount of ammonium chloride with temperature (V 10,000 mg/L, 6.1 g of NH4Cl remained 2 wt% in solution after reaction, 6.1 g)
|
Temperature [℃] |
[NH4+]/ [NH4++NH3] |
Real NH4Cl [(NH4Cl)T] [g] |
NH4Cl in reaction [(NH4Cl)] [g] |
| 25 | 0.945 | 6.5 | 6.1 |
| 30 | 0.924 | 6.6 | 6.1 |
| 35 | 0.897 | 6.8 | 6.1 |
| 40 | 0.862 | 7.1 | 6.1 |
| 45 | 0.819 | 7.5 | 6.1 |
| 50 | 0.769 | 7.9 | 6.1 |
Fig. 5는 암모늄메타바나데이트 침전에 영향을 주는 두 인자(암모늄메타바나데이트 용해도, 암모늄 이온 분해율)를 고려하여, 침전온도 25 ℃~ 50 ℃에서 반응에 참여하는 바나듐 농도 10,000 mg/L인 수용액에 염화암모늄(침전반응에 2.1 g 참여)을 첨가하여 침전반응을 수행하면서 얻은 침전시간에 대한 침전률 거동곡선을 보여주고 있다. 이 때 침전률은 용해도를 고려하여 식 (15)에 따라 계산하였다.
Fig. 5에 의하면 암모늄메타바나데이트 침전반응이 종료되는 시간은 상온에서는 120분, 50 ℃에서는 50분으로서 침전온도 증가에 따라 침전속도가 증가하였으며, 또한 온도 증가에 관계없이, 용해도를 고려한 암모늄메타바나데이트 침전반응은 거의 전량이 침전되는 결과를 얻었다. 이러한 결과는 암모늄메타바나데이트 용해도와 암모늄 이온 분해율을 고려하지 않고 수행한 앞의 결과와는 반대되는 경향을 보이고 있다. 따라서 소듐바나데이트가 용해되어 있는 수용액에서 염화암모늄 첨가에 의한 암모늄메타바나데이트를 침전회수 함에 있어서, 수용액 온도 그리고 수용액 pH가 침전반응에 큰 영향을 미치는 것을 확인할 수 있었으며, 이러한 영향을 최소화 하여 각 침전조건에서 반응물의 정량이 침전반응을 하도록 유도하면, 암모늄메타바나데이트 침전반응은 발열반응, 자발적 반응으로서, 온도를 증가시킨 경우 등온반응에서 침전속도가 증가하는 전형적인 특성을 모두 보여주고 있다.
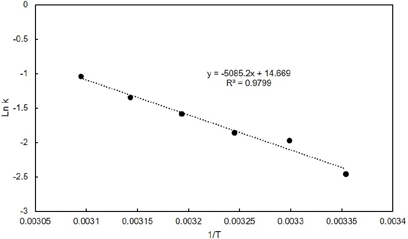
Fig. 5에서 얻은 침전시간에 대한 암모늄메타바나데이트 침전률 실험치를 반응속도 식 (13)에 대입하여 최소자승법으로 모사하여 침전온도별 반응속도상수를 얻었으며, 이를 Table 5에 나타내었다. Table 5에서 얻은 각 온도별 반응속도상수와 온도와의 Arrhenius 상관관계를 Fig. 6에 나타내었는데, Arrhenius 상관관계식은 1차 관계식으로 선형성이 좋게 나타났으며 이와 같은 직선의 기울기로부터 본 연구조건에서 얻은 활성화 에너지는 42.3 kJ/mol이었다. Du 등의 연구에서는 암모늄메타바나데이트 침전반응에서 핵생성 유도기간과 과포화도 비의 상관관계식으로부터 활성화 에너지를 구하였으며, 그 값은 79.2-115.5 kJ/mol이었다10). 이 값은 본 연구에서 구한 활성화 에너지 값 보다 2~3배 크게 나타났는데, 이러한 이유는 다음과 같이 설명이 가능하다. 침전온도 증가에 따라 암모늄메타바나데이트 용해도가 증가하며, 따라서 일정한 과포화비(C/C*)에서는 온도증가에 따라 침전반응에 참여하는 농도 C가 더욱 크게 증가하게 된다. 그렇기 때문에 침전반응속도는 바나듐 농도 함수로서 침전온도 영향이 더욱 크게 나타나기 때문에 활성화 에너지 값이 크게 나타나며, 또한 과포화도 비가 증가하면 활성화 에너지 값이 증가하는 결과를 얻었다. 그러나 본 연구에서는 반응에 참여하는 C 값은 각 온도에 따른 용해도 값에 해당하는 농도를 제외한 값이고, 따라서 이 값은 각 온도에 관계없이 일정하게 유지되기 때문에 오직 침전온도에 의한 영향만을 고려할 수 있으므로 침전온도에 대한 침전속도 영향이 줄어들기 때문에 활성화 에너지가 작게 나오는 결과를 얻을 수 있었다. 그러나 두 연구결과를 비교하면 같은 차수 크기의 활성화 에너지 값을 보여주고 있음을 알 수 있다.
Table 5.
Precipitation rate constant with temperature at pH 8
4. 결 론
암모늄메타바나데이트 침전반응의 속도론적 고찰을 통하여 다음과 같은 결론을 얻을 수 있었다.
1. 암모늄메타바나데이트 침전반응은 발열반응, 자발적 반응으로서, 온도를 증가시킨 등온반응에서 침전속도가 증가하는 전형적인 반응의 특성을 보여주고 있으며, 수용액의 온도 및 pH 변화에 따른 암모늄메타바나데이트 용해도와 암모늄 이온의 분해 정도가 반응속도 및 침전률에 커다란 영향을 미친다.
2. 침전온도에 따른 수용액의 암모늄메타바나데이트 용해도 그리고 암모늄 이온의 분해율을 고려하여, 일정한 반응물 농도를 유지시켜 침전반응을 수행한 결과, 침전온도 증가에 따라 침전속도는 증가하였으나 35 ℃ 이상에서는 침전온도의 영향이 크지 않았다. 또한 암모늄메타바나데이트 침전반응의 활성화 에너지는 42.3 kJ/mol이었다.
3. 바나듐의 회수율, 염화암모늄의 첨가량 등 침전반응의 효율을 고려하였을 때, 수용액 pH는 낮을수록 더욱 유리하며, 본 연구조건에서는 수용액 pH 8 정도가 적절하였다. 또한 암모늄메타바나데이트 용해도를 고려하여 침전온도는 낮을수록 바나듐 회수율에 유리하며, 본 연구조건에서는 35 ℃ 이하가 적절할 것으로 사료된다.








