1. 서 론
2. 연구개발 수행내용 및 결과
2.1. 시료의 특성 및 실험방법
2.2. 알루미늄과 플라스틱의 재질분리
2.3. 플라스틱의 재활용
2.4. 폐 커피 캡슐 재질분리 공정
3. 결 론
1. 서 론
플라스틱은 여러 가지 기능적 우수성과 저가라는 경제상의 특징으로 사용량이 해마다 증가하고 있다. 국내 플라스틱 원료 생산은 2011년 약 1,200만 톤에서 2015년 약 1,1415만 톤으로 증가하였으며, 국내 수요 또한 약 495만 톤에서 약 583만 톤으로 증가하였다. Eromap에 따르면, 2015년 기준 한국은 연간 약 132.7 kg/capita의 플라스틱을 소비하고 있으며, 이는 조사 대상인 63개국 중 두 번째로 많은 양이다1). 국내 플라스틱 제조 산업의 성장은 플라스틱 폐기물의 증가로 나타나고 있으며, 2011년 506만 톤에서 2017년 791만 톤으로 56% 증가하였다. 이 중 생활계 폐플라스틱의 발생량은 153만 톤에서 213만 톤으로 39% 증가하였다. 이는 1인 가구의 증가에 따라 외식이나 가공식품을 구입하는 경향이 증가하고 인터넷 발달과 스마트폰의 보급 장가에 따라 온라인 쇼핑의 이용이 급증한 것에 기인한다. 이러한 소비패턴의 변화로 제품의 포장 사용량 등이 증가하여 폐플라스틱의 발생량이 지속적으로 증가하고 있다2).
국내의 2017년 플라스틱 폐기물 재활용 처리량은 2011년 대비 약 85% 증가하여, 489만 톤이 재활용되었으며, 나머지 242만 톤은 소각, 37만 톤은 매립되었다. 매년 플라스틱 제품 소비량이 증가하면서 처리량도 늘어나는 추세이다(Fig. 1). 이 중 산업계에서 스크랩 등으로 발생하는 폐플라스틱은 조성이 일정해 재활용에 큰 어려움이 없다. 그러나 생활계 폐플라스틱은 대개 여러 종류의 플라스틱이 혼합되어 배출되고 계절 및 지역에 따라 조성이 일정하지 않아 재활용에 어려움을 겪고 있다2). 소각하여 감용화 하는 것이 가능한 고체 폐기물은 소각이나 매립이 일반적이지만, 폐플라스틱의 소각이나 매립은 매립지의 부족, 환경오염 문제 등을 야기하고 있다3).
국내외적으로 폐기물에 대한 재활용 요구, 정책의 시행, 법적 규제로 수명이 다한 폐기물의 재자원화 요구가 증가하고 있다. 국내에서도 2018년 자원순환기본법을 시행하여 소각 및 매립의 최소화를 통한 재활용 활성화와 극대화를 추진하고 있어 폐기물의 재활용 기술개발이 필요하다. 또한 세계 플라스틱 폐기물의 절반을 수입하던 중국이 2017년 7월 ‘외국 쓰레기 반입 금지와 고형폐기물 수입, 관리 개혁 실시 방안’을 발표하여 세계 각국에서 폐기물 처리에 어려움을 겪고 있다4). 따라서 국내에서 발생한 폐플라스틱은 국내에서 재활용 하는 것이 시급한 문제로 대두되고 있다.
2016년 영국 BBC 뉴스에 따르면 해마다 커피 캡슐의 소비량은 증가하고 있으며, 이는 심각한 환경 문제를 동반한다고 보고하고 있다. 일반 커피 머신에 비해 더 간단하고 저렴하게 추출이 가능한 캡슐 커피 머신의 전 세계 판매량은 2010년과 2017년 사이 두 자릿수 정장을 기록하였다(2022년 11.35억 달러, 2026년 18.84억 달러 예상). 특히, 아시아 태평양 지역의 커피 소비 증가가 커피 캡슐 시장 규모를 성장시키는 주요 요인으로 분석되었다5). 국내의 시장 규모는 최근 5년간 매년 20%씩 가파르게 성장해 2020년 기준 머신 매출 787억 원, 캡슐 매출 1333억 원에 이르며, 코로나 19 사태 이후 소비량이 더욱 높아졌다. 본 연구의 대상 시료인 플라스틱 커피 캡슐의 경우, 케이스의 대부분 플라스틱으로 구성되어 있지만, 알루미늄 및 커피 찌꺼기(coffee grounds)로 인해 재활용에 어려움을 겪고 있다. 현재 국내에서는 생활계 폐기물로 분류되어 버려지고 있어, 자원의 효율적인 이용 및 환경문제 등을 이유로 재활용이 요구되고 있다. 본 연구에서는 폐 커피 캡슐의 재질분리 공정 개발을 통해 커피 캡슐 폐플라스틱의 재활용 가능성을 평가하였다.
2. 연구개발 수행내용 및 결과
2.1. 시료의 특성 및 실험방법
Fig. 2는 본 연구에 사용된 NESCAFE Dolce Gusto (Nestle, Switzerland) 커피 캡슐의 구성을 나타낸 것으로, 캡슐을 밀봉하는 라미네이트 시트{PET (polyethylene terephthalate)/PP (polypropylene)}, 외부 용기(PP), 플라스틱 필름(PP), 커피 분말, 알루미늄 호일, 플라스틱 필터(PP)로 구성되어 있다6). 알루미늄 호일의 경우, 플라스틱과 점착되어 있어 재질분리를 위해서는 플라스틱과 알루미늄 호일의 단체분리가 필요할 것으로 생각된다. 또한 알루미늄 호일을 제외한 플라스틱의 대부분이 PP 재질로 플라스틱과 알루미늄이 분리된다면 재활용이 가능할 것으로 판단된다. Table 1은 본 연구에 사용된 커피 캡슐의 재질별 무게 비를 나타낸 것으로, 74.63%가 커피이며, 그 외 플라스틱이 24.68% 그리고 알루미늄이 0.67% 임을 확인하였다. 커피를 제외한 무게 비는 플라스틱이 97.28%로 대부분이며, 알루미늄은 2.72% 이었다.
Table 1.
Weight ratio by material of coffee capsules used in this study
| Materials | Weight (g) |
Weight % (with coffee) |
Weight % (without coffee) |
| Aluminum | 0.0924 | 0.67 | 2.72 |
| Plastic | 3.3087 | 24.68 | 97.28 |
| Coffee | 10.0067 | 74.63 | - |
| Total | 13.4078 | 100.00 | 100.00 |
Table 2는 본 연구에 사용된 커피 캡슐의 커피 찌꺼기에 대한 입도분석(particle size analysis) 결과를 나타낸 것으로, 대부분이 –18/+35 mesh (–1.00/+0.42 mm) 입도에 분포하고 있는 것을 확인할 수 있다. 또한 12 mesh (1.41 mm) 보다 큰 커피 찌꺼기는 0.03%로 미미하여 대부분 12 mesh 이하임을 알 수 있다. 따라서 커피 찌꺼기의 완전한 제거를 위해서는 12 mesh 이상의 체(screen)를 이용하여야 함을 확인하였다.
Table 2.
Particle size distribution of coffee grounds
|
Mesh (mm) |
+12 (+1.41) |
-12/+18 (-1.41/+1.00) |
-18/+35 (-1.00/+0.42) |
-35 (-0.42) |
| Wt. % | 0.03 | 0.98 | 65.59 | 16.02 |
본 연구에서는 미립자 발생을 억제하여 체를 통과하는 플라스틱과 알루미늄을 최소화하기 위해 파쇄를 2단계로 진행하였다. 먼저, 시료를 슈레더(shredder) cutter의 회전속도 30 rpm 조건에서 1차 파쇄하고 파쇄 된 시료를 세척한 후, 체질(screening)하여 커피찌꺼기를 제거하였다. 이때, 체를 통과한 산물은 여과하고 건조하였으며, 체에 남은 산물은 건조한 후, 600 rpm의 고속파쇄기인 컷 크러셔(cut crusher)를 이용하여 2차 파쇄하였다. 일정한 크기(–10, –15, –20 mm) 2차 파쇄 된 시료는 코로나 방전형 정전선별(corona charged electrostatic separation)을 이용하여 전도성 산물(알루미늄)과 비전도성 산물(플라스틱)로 분리하였다.
2.2. 알루미늄과 플라스틱의 재질분리
2.2.1. 1차 파쇄 및 커피찌꺼기 제거
폐 커피 캡슐의 재활용을 위해서는 커피찌꺼기의 제거가 선행되어야 한다. 먼저 폐 커피 캡슐을 슈레더를 이용하여 1차 파쇄하고 커피찌꺼기 탈리를 위해 일정시간(2분) 물과 교반하며 세척한 후, 체질하여 커피찌꺼기를 제거하였다. 커피찌꺼기의 입도분석 결과, 99.97%가 12 mesh 이하임을 확인하였다. 따라서 본 연구에서는 커피찌꺼기의 완전한 제거를 위해 8 mesh (2.38 mm) 체를 이용하여 커피 찌꺼기를 제거하였다. 체질을 통해 커피찌꺼기가 제거되고 남은 산물은 건조하였으며, 플라스틱과 알루미늄이 99.9% 이상임을 확인하였다.
1차 파쇄 되고 커피찌꺼기가 제거된 시료의 알루미늄 단체분리도(degree of liberation) 확인을 위하여 단체분리 된 플라스틱과 알루미늄 그리고 단체분리 되지 않은 시료로 수작업을 통해 분류하였다(Fig. 3). 확인 결과, 1차 파쇄 후 시료의 알루미늄 단체분리도는 50.8% 이었다. 따라서 플라스틱과 알루미늄의 재질분리를 위해서는 2차 파쇄를 통한 단체분리도 향상이 필요하다는 것을 확인하였다.
2.2.2. 2차 파쇄
1차 파쇄 된 시료의 알루미늄 단체분리도는 50.8% 이었다. 따라서 알루미늄 단체분리도 향상을 위해 컷 크러셔를 이용하여 10, 15, 20 mm 이하로 2차 파쇄를 수행하였다. 파쇄 된 시료는 알루미늄 단체분리도 확인을 위하여 단체분리 된 플라스틱과 알루미늄 그리고 단체분리 되지 않은 시료로 수작업을 통해 분류하였다. Fig. 4는 10, 15, 20 mm 이하로 파쇄 된 시료의 분류 산물을 나타낸 것이다. –10 mm로 파쇄 된 시료의 경우, 알루미늄 단체분리도는 99.2%로 매우 높았으며, –15와 –20 mm 시료는 각각 97.1%와 95.5% 이었다. 파쇄 입도가 작아질수록 알루미늄의 단체분리도는 증가하였으며, 세 시료 모두 알루미늄 단체분리도가 95% 이상으로 플라스틱과 알루미늄의 단체분리가 효과적으로 이루어졌음을 확인하였다.
2.2.3. 코로나 방전형 정전선별
본 연구에서는 –10, 15, 20 mm로 2파 파쇄 된 시료를 대상으로 코로나 방전형 정전선별을 이용하여 전도성 산물(알루미늄)과 비전도성 산물(플라스틱)로 재질분리 연구를 수행하였다. Fig. 5는 코로나 방전형 정전선별의 원리 및 장치를 나타낸 것으로, 코로나 전극에 음극의 직류 고전압을 발생시키면 주변 공기는 전기적 절연파괴를 일으키고, 방전하게 되어 도체의 성질을 지니게 된다. 이 현상을 이온 충격(ion bombardment)이라 하며, 방전된 기체들은 정전기장을 형성한다. 선별기에 투입된 입자들은 정전기장을 통과하며 하전이 일어나지만, 접지된 회전 전극으로 인해 전하를 잃게 된다. 이때 금속입자는 전도성이 커서 전하소멸이 빠르게 일어나 회전 전극으로부터 궤적을 그리며 낙하하게 된다. 반면 비금속 입자는 전도성이 작아 전하소멸이 천천히 일어나 거울상 힘(image force)에 의해 회전 전극에 부착되어 돌다 브러시에 의해 드럼에 떨어져 선별이 이루어진다. 코로나 방전형 정전선별에 영향을 주는 변수는 다양하다. 입자 변수로 입도, 밀도, 형상, 유전율 등이 있으며, 선별기에서 제어하는 공정 변수로는 시료의 공급량, 회전 드럼의 속도, 적용 전압, 코로나 및 유도 전극에서 드럼까지의 거리, 분리대의 위치 등이 있다. 또한 상대습도, 온도 등의 환경적이 변수가 있다7,8,9). 본 연구에서는 시료의 공급량(300 g/min.), 코로나 및 유도 전극에서 드럼까지의 거리(20 cm), 상대습도(45~ 50%) 그리고 온도(25~30 ℃) 조건은 고정되었으며, 입도, 드럼의 회전 속도, 적용 전압, 분리대의 위치 그리고 정선 횟수를 변화하며 최적 분리조건 및 분리효율을 확인하였다.
본 연구에서 코로나 방전형 정전선별의 목적은 알루미늄의 제거는 최대한으로 그리고 플라스틱은 가급적 많이 회수하는 것이다. 따라서 선별효율은 비전도성 물질 회수대로 회수된 산물의 알루미늄 제거율과 플라스틱 회수율을 기반으로 평가되었다. 알루미늄 제거율과 플라스틱 회수율은 아래와 같이 계산되었다.
여기에서 Alrem은 알루미늄 제거율, Ca는 비전도성 물질 회수대의 알루미늄 함량, Ta는 전도성 물질 회수대의 알루미늄 함량이다. 그리고 Prec는 플라스틱 회수율, Cp는 비전도성 물질 회수대의 플라스틱 함량, Tp는 전도성 물질 회수대의 플라스틱 함량이다.
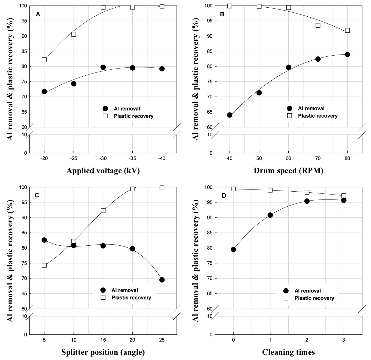
(1) –10 mm 시료
Fig. 6의 A는 전압세기가 선별효율에 미치는 영향을 관찰하기 위하여 드럼의 회전 속도 60 rpm, 분리대의 위치 20°로 고정하고 코로나 및 유도 전극에 적용되는 전압을 –20 kV에서 –40 kV까지 변화하며 실험한 결과이다. 실험결과, 전압세기가 증가할수록 알루미늄 제거율과 플라스틱 회수율이 증가하지만, –30 kV 이상에서는 큰 변화가 없는 것을 알 수 있다. 즉, 즉, 전압세기가 가장 약한 –20 kV에서는 알루미늄 제거율과 플라스틱 회수율이 각각 71.7%와 82.2%로 가장 낮지만, –40 kV에서는 각각 79.2%와 99.7%까지 증가하였다. 그러나 –30 kV에서도 각각 79.7%와 99.4%로 높은 선별효율을 보였다. 따라서 선별효율을 높이기 위해서는 –30 kV 이상의 고전압을 공급해야 함을 확인하였다. 이와 같이 전압세기가 선별효율에 영향을 미친 이유는, 고전압은 더 강한 전기장을 생성하고 전기장의 분포를 보다 광범위하고 균일하게 만들고, 강한 유도 전극의 영향으로 전도성 산물이 강하게 편향되기 때문이다. 또한 코로나 방전형 정전선별에서 적용 전압은 전도성 산물보다 비전도성 산물에 더 영향을 미치며, 이는 전압의 세기가 비전도성 산물을 드럼에 부착시키는 거울상 힘에 많은 영향을 주기 때문이다8).
드럼의 회전 속도는 빠를수록 전도성 산물이 원심력을 더 받아 드럼으로부터 멀리 편향되어 선별효율이 증가할 것 같지만, 회전 속도가 빠르면 정전기력과 거울상 힘보다 원심력이 커져 비전도성 산물이 드럼에 오래 부착하지 못하고 빠르게 탈착된다. 따라서 비 전도성 산물이 드럼에 오래 부착되고 전도성 산물이 드럼으로부터 멀리 편향될 수 있는 최적의 속도를 찾아야 한다. Fig. 6의 B는 드럼의 회전 속도가 선별에 미치는 영향을 관찰하기 위하여 전압 세기 30 kV, 분리대의 위치 20°로 고정하고 드럼의 회전 속도를 40 rpm에서 80 rpm까지 변화하며 실험한 결과이다. 실험결과, 드럼의 회전 속도가 증가할수록 알루미늄 제거율은 증가하지만 플라스틱 회수율은 감소하는 것을 알 수 있다. 즉, 회전 속도가 가장 느린 40 rpm에서 알루미늄 제거율은 64.0% 이지만, 가장 빠른 80 rpm에서는 83.9%까지 증가한다. 반면 플라스틱 회수율의 경우, 40 rpm에서 99.9%로 가장 높지만 80 rpm에서는 91.9%까지 감소한 것을 확인할 수 있다. 본 연구에서는 플라스틱 회수율이 크게 감소하지 않고 알루미늄 제거율이 크게 증가한 60 rpm을 최적 조건으로 재질분리 실험을 수행하였다.
선별부 내에서 하전 된 입자의 하전량, 무게, 형태 등이 다르기 때문에 드럼에서 편향되는 거리 및 드럼에 부착되는 시간이 다르다10). 따라서 선별부 하단에 위치한 분리대를 이동시켜 선별에 적합한 조건을 얻을 수 있다. Fig. 6의 C는 분리대의 위치가 선별에 미치는 영향을 관찰하기 위하여 전압 세기 30 kV, 드럼의 회전 속도 60 rpm으로 고정하고 분리대의 위치를 5°에서 25°까지 변화하며 실험한 결과이다. 실험 결과, 분리대의 각도가 커질수록 알루미늄 제거율은 감소하나 플라스틱 회수율은 증가하는 것을 알 수 있다. 반대로 분리대의 각도가 작아질수록 알루미늄 제거율은 증가하나 플라스틱 회수율이 감소하는 것을 확인하였다. 본 연구에서 분리대의 위치는 알루미늄 제거율이 크게 감소하지 않으면서 플라스틱 회수율이 크게 증가한 20°를 최적 분리대 위치로 선택하였다. 이때 알루미늄의 제거율과 플라스틱 회수율이 각각 79.7%와 99.4%인 결과를 얻었다. 이와 같이 분리대의 위치에 따라 선별효율이 달라지는 이유는 회수존의 크기가 달라져 하전량, 무게, 형태 등이 다른 전도성 및 비전도성 산물의 회수량이 달라지기 때문이다.
본 연구에 사용된 시료의 경우, 과립(granule) 형태가 아니라 시료가 구겨지며 얇은 필름 또한 포함하고 있다. 그러므로 시료가 선별부로 투입될 때, 단일층(one layer)으로 투입되기 어려워 알루미늄 제거율 향상에 한계가 있다. 따라서 1차로 회수된 비전도성 산물을 대상으로 알루미늄 제거율 향상을 위한 정선(cleaning) 연구를 수행하였다. Fig. 6의 D는 정선 횟수가 선별에 미치는 영향을 관찰하기 위하여 0회부터 3회까지 실험한 결과이다. 실험결과, 정선횟수가 늘어날수록 알루미늄 제거율이 증가하였다. 즉, 0회 일 때, 79.5%에서 1회와 2회일 때, 각각 90.8%와 95.4%로 크게 증가하였다. 그러나 이보다 정선 횟수가 늘어난 3회에서는 알루미늄 제거율의 뚜렷한 증가 없이 플라스틱 회수율만 감소하였다. 따라서 알루미늄 제거율이 크게 증가하고 플라스틱 회수율이 크게 감소하지 않은 정선 횟수 2회가 최적 조건임을 확인하였다.
Fig. 7은 –10 mm로 2차 파쇄 된 시료의 코로나 방전형 정전선별을 통해 회수된 산물을 나타낸 것으로, 육안으로도 알루미늄이 효과적으로 제거된 것을 확인할 수 있다. –10 mm 시료를 대상으로 한 코로나 방전형 정전선별에서 최종적으로 회수된 산물의 알루미늄 제거율과 플라스틱 회수율은 각각 95.4%와 98.3% 이었다.
(2) –15 mm 시료
Fig. 8은 –15 mm로 2차 파쇄 된 시료를 대상으로 한 코로나 방전형 정전선별 실험결과를 나타낸 것이다. 실험결과는 –10 mm 시료와 유사하였으며, 전압의 세기 30 kV, 드럼의 회전 속도 60 rpm, 분리대의 위치 25°, 정선 횟수 2회에서 최적의 결과를 얻었다. 이때 최종적으로 회수된 산물의 알루미늄 제거율과 플라스틱 회수율은 각각 91.3%와 97.2% 이었다. –10 mm 시료와 비교하여 알루미늄 제거율은 약 4%, 플라스틱 회수율은 약 1% 적은 수치이며, 이는 알루미늄 단체분리도 및 입자의 하전량, 무게, 형태 등이 다르기 때문으로 판단된다. 선별효율은 –10 mm가 –15 mm 보다 높지만, 파쇄 측면에서는 입도가 큰 –15 mm가 효율적이다. 따라서 향후 입도는 선별효율 및 파쇄효율을 고려해서 선택해야 할 것으로 생각된다. Fig. 9는 코로나 방전형 정전선별을 통해 최종적으로 회수된 산물을 나타낸 것으로, –10 mm와 마찬가지로 육안으로도 알루미늄이 효과적으로 제거된 것을 확인할 수 있다.
(3) –20 mm 시료
Fig. 10은 –20 mm로 2차 파쇄 된 시료를 대상으로 한 코로나 방전형 정전선별 실험결과를 나타낸 것이다. 실험결과, 최적조건인 전압의 세기 30 kV, 드럼의 회전 속도 70 rpm, 분리대의 위치 25°의 조건에서 알루미늄 제거율과 플라스틱 회수율이 각각 65.9%와 99.0% 이었다. 이는 –10 mm 및 –15 mm 시료와 비교하여 알루미늄 제거율이 10~15% 낮은 결과이다. 따라서 본 연구에서 –20 mm 시료는 비효율적이라 판단하였으며, 입도는 15 mm 이하가 되어야 함을 확인하였다.
2.3. 플라스틱의 재활용
폐플라스틱을 재생 플라스틱으로 제조하는 공정의 가장 큰 어려움은 여러 종류로 혼재 된 폐플라스틱의 재질분리이다. 혼합 폐플라스틱이 재질별로 분리되지 않으면, 물성 차이로 인해 재활용은 불가능하다11). 본 연구에 사용된 시료의 경우, PP 재질이 대부분으로 알루미늄의 제거만 효율적이라면 재생 플라스틱 제조에 큰 어려움이 없을 것으로 판단된다.
Fig. 11은 코로나 방전형 정전선별에 의해 회수된 커피 캡슐 폐플라스틱의 재생 플라스틱 제조가능성을 평가하기 위한 펠릿화(pelletizing) 과정을 나타낸 것이다. 먼저 시료에 적합한 조건을 부여하고 시료를 공급한다. 공급된 시료는 용융 과정을 거쳐 원통 모양으로 압출하여 성형시킨다. 성형된 시료는 냉각수로 냉각하고 건조 과정을 거친 후, 절단하여 펠릿으로 제조하였다. 펠릿화는 경기도 화성의 D사에서 진행하였으며, 물성평가를 통해 재활용 가능성을 확인하였다.
Table 3은 재생 플라스틱의 물성평가 결과를 나타낸 것으로, 유해물질은 검출되지 않았으며, Homo-PP와 유사한 결과를 보였다. 미량의 불순물로 인해 다소 압축강도나 휨강도가 낮은 편이나 대체적으로 GS 칼텍스의 Grade name H550과 유사한 기계적 물성을 갖는 것으로 확인되었다. Grade name H550의 경우, 시장에서 일반적으로 세탁기, 냉장고 등 가전제품, 식품 보관통, PP compound의 base 등으로 많이 사용되는 사용범위가 광범위한 수지이다. 따라서 재생 PP로 충분한 기능성이 존재하며, 가전, 건축 등의 일반적인 사출 소재로 사용이 가능할 것으로 판단된다. 또한 신재와 혼합사용 시, 등급이 높은 다양한 제품군에 적용이 가능할 것으로 판단된다. 다만, 제조된 재생 펠릿의 색상이 진회색으로 검정 혹은 어두운 계열의 제품군에 한정적으로 적용 가능할 것으로 생각된다.
Table 3.
Properties of the produced pellets and comparison with Grade name H550
2.4. 폐 커피 캡슐 재질분리 공정
본 연구에서는 폐 커피 캡슐의 재질분리 공정 개발을 통해 커피 캡슐 폐플라스틱의 재활용 가능성을 평가하였다. Fig. 12는 본 연구에서 개발된 폐 커피 캡슐의 재질분리 공정을 나타낸 것으로, 먼저 폐 커피 캡슐을 슈레더를 이용하여 1차 파쇄하고 파쇄 된 시료를 세척하였다. 세척 된 시료는 8 mesh 체를 이용하여 커피찌꺼기를 제거하였으며, 이때 체를 통과한 산물(커피찌꺼기)은 여과하고 건조하고 체에 남은 산물(플라스틱, 알루미늄)은 건조한 후, 컷 크러셔를 이용하여 2차 파쇄 하였다. 2차 파쇄에 의해 일정한 크기(–10 또는 –15 mm)로 파쇄 된 시료는 1차 코로나 방전형 정전선별에 의해 전도성 산물(알루미늄)과 비전도성 산물(플라스틱)로 분리된다. 그리고 비전도성 산물을 대상으로 알루미늄 제거율 향상을 위한 2번의 정선 과정을 거쳐 최종 산물이 얻어지는 공정이다. 이때 –10 mm의 경우, 최종 산물의 알루미늄 제거율과 플라스틱 회수율이 각각 95.4%와 98.3% 이었으며, –15 mm는 각각 91.3%와 97.2% 이었다. 앞서 언급했듯이 선별효율은 –10 mm가 –15 mm 보다 효율적이지만, 파쇄효율 측면에서는 입도가 큰 –15 mm가 효율적이다. 따라서 향후 입도는 선별효율과 파쇄효율을 고려해 선택해야 할 것으로 생각된다.
3. 결 론
본 연구에서는 현재 생활계 폐기물로 버려지는 커피 캡슐의 재활용을 위한 재질분리 연구를 수행하였으며, 다음과 같은 결론을 얻었다.
1. 본 연구에 사용된 시료는 NESCAFE Dolce Gusto 커피 캡슐로, 재질별 무게 비는 커피 74.63%, 플라스틱 24.68% 그리고 알루미늄 0.67%이었다. 커피를 제외한 무게 비는 플라스틱이 97.28%로 대부분이며, 알루미늄은 2.72%이었다.
2. 1차 파쇄 후, 체질(8 mesh)을 통해 커피찌꺼기는 제거되었으며, 이때 알루미늄 단체분리도는 50.8%로 재질분리를 위한 2차 파쇄가 필요함을 확인하였다. 커피찌꺼기가 제거 된 1차 파쇄 산물을 대상으로 10, 15, 20 mm 이하로 2차 파쇄를 수행하였으며, 알루미늄 단체분리도는 각각 99.2%, 97.1%, 95.5% 이었다.
3. 10, 15, 20 mm 이하로 2차 파쇄 된 시료를 대상으로 코로나 방전형 정전선별을 적용하여 플라스틱과 알루미늄의 재질분리 연구를 수행하였다. 실험결과, –10 mm 시료의 경우, 최적조건에서 알루미늄 제거율 및 플라스틱 회수율이 각각 95.4%와 98.3% 이었으며, –15 mm는 각각 91.3%와 97.2% 이었다. 선별효율은 –10 mm 시료가 –15 mm 시료보다 높지만, 파쇄 측면에서는 입도가 큰 –15 mm가 효율적이다. 따라서 향후 입도는 선별효율 및 파쇄효율을 고려해서 선택해야 할 것으로 생각된다. 또한 –20 mm 시료의 경우, –10 mm 및 –15 mm 시료와 비교하여 알루미늄 제거율이 10~15% 낮아 비효율적임을 확인하였다.
4. 재질분리 된 폐플라스틱의 재활용 가능성을 평가하기 위하여, 시료를 폘릿으로 제조하고 물성을 분석하였다. 분석결과, 유해물질은 검출되지 않았으며, Homo-PP와 유사한 결과를 보였다. 따라서 재생 PP로 충분한 기능성이 존재하여 가전, 건축 등의 일반적인 사출 소재로 사용이 가능하며, 신재와 혼합사용 시, 등급이 높은 다양한 제품군에 적용 가능할 것으로 평가되었다. 다만, 어두운 색상으로 인해 검정 혹은 어두운 계열의 제품군에 한정적으로 적용 가능할 것으로 평가되었다.
5. 본 연구에서는 폐 커피 캡슐의 재활용을 위해 1차 파쇄, 세척 및 체질을 통해 커피찌꺼기를 제거하고 2차 파쇄 후, 총 3번의 코로나 방전형 정전선별을 수행하는 재질분리 공정을 개발하였다. 이때 알루미늄이 약 91~95% 제거 된 폐플라스틱을 약 97~98% 회수하였으며, 이렇게 회수 된 폐플라스틱은 다양한 분야에 적용 가능할 것으로 평가되었다.














