1. 서 론
전 세계적으로 환경 보호와 지속 가능한 발전에 관한 관심이 높아지면서, 산업 현장에서 발생하는 부산물의 효율적 재활용과 부가가치 창출이 중요한 경제적 및 환경적 과제로 부상하고 있다. 특히 국내 철강산업에서는 슬래그 등 산업부산물이 연간 약 2,500만 톤 이상 발생하고 있으며, 이들 부산물을 단순 매립할 경우 심각한 환경오염 및 공간 부족 문제 등이 발생할 수 있다1). 따라서, 산업부산물의 고부가가치 활용을 통한 자원순환 경제 실현과 신기술 개발이 국가 산업경쟁력의 핵심 요소로 인식되고 있다.
미네랄울은 자연석과 산업부산물을 고온에서 용융 후 섬유화하여 제조되는 대표적인 무기 단열재로서, 우수한 단열성 및 불연성, 친환경성을 갖추고 있어 건축, 플랜트, 선박 등 광범위한 분야에 사용되고 있다2). 기존 미네랄울 제조에는 주로 현무암, 규석과 같은 천연 광석을 원료로 사용했으나, 원자재 가격 상승 및 환경규제 강화로 인해 산업부산물의 대체 원료 활용에 연구가 시급하다. 특히, 철강 슬래그 등 금속산업 부산물의 활용은 제조 공정에서의 원료 비용 절감뿐만 아니라 폐기물 처리 비용 감소라는 이중 효과를 제공하며, 고품질 단열재 생산으로 경제적 가치를 높일 수 있다3,4).
미네랄울의 핵심 제조설비인 큐폴라(cupola) 용융로는 코크스를 연료로 장입되는 미네랄 원료를 용융시키는 방식으로 운영되며, 코크스의 물성과 조업 조건에 따라 용융 효율과 제조품질이 크게 달라진다. 큐폴라 내에서 발생하는 주요 반응은 코크스 연소 반응, 불완전 연소 반응, 솔루션 로스(Solution loss) 반응 등이 있는데, 로 내부 조건에 따라 용융 효율, 에너지 소모, 가스 조성에 영향을 미친다. 특히, 송풍 공기 중 산소 농도와 코크스 입경은 연소 반응 속도 및 솔루션 로스 반응의 거동을 좌우하는 핵심 인자로 알려져 있다5,6,7).
주로 주철용 큐폴라 조업에서는 환원반응 기반 특성 분석이 이루어졌으나8), 미네랄울 제조용 큐폴라에서는 환원 반응이 아닌 충분한 연소열의 확보가 중요하며, 산업부산물의 용융 안정과 고품질의 제품 생산을 위한 설비 및 운영 방법이 요구된다5,6,7). 또한 코크스의 물성을 기반으로 코크스 입경과 송풍 공기 중 산소 농도가 동시에 변화할 때 나타나는 상호작용 효과에 대한 속도론적 연구가 필요하다8,9,10).
국제적으로 최근 야금용 코크스(Met Coke)의 가격이 급격히 변동(2022년 기준 톤당 396~755달러)함에 따라 미네랄울 제조 원가에 미치는 영향도 커지고 있다11,12). 국내에서는 cupola 전용 코크스가 생산되지 않으므로 고로용 코크스의 공급 제한 및 가격 상승으로 인해 저가형 주물용 코크스(foundry coke) 등 다양한 선택지를 검토할 필요가 있으며, 코크스 물성 제어와 사용량 최적화를 통한 조업비 절감, 품질 안정화가 시급한 기술적 과제로 부각되고 있다.
이에 본 연구는 큐폴라 조업에서 사용할 수 있는 코크스와 산소와의 연소 거동을 조사하고, 연소 반응 속도 상수를 도출한다. 이를 통해 철강산업 부산물의 체계적 재활용, 제조 원가 절감, 환경오염 저감 등을 실현할 수 있는 큐포라 내 온도 분포를 모델 개발에 활용하는 것이 본 연구의 궁극적 목표이다.
2. 실험 방법
본 연구에서는 2가지의 코크스를 사용하여 Fig. 1과 같이 저항로를 사용하여 연소 실험을 진행하였다. Table 1은 주물용 코크스, 야금용 코크스, 현업에서 사용되는 코크스의 공업 분석 결과와 발열량을 보여준다. 주물용 및 야금용 코크스의 Ash 함량은 각각 약 14.3%와 9.7%정도 함유하고 있으며, Fixed carbon 함량은 각각 약 83%와 87% 정도 함유되어 있다. Table 1과 같이 Moisture와 Volatile의 함유량은 큰 차이가 없었다. 발열량은 Bomb calorimeter(6100EF, Parr Instrument Company)로 측정하였으며, 주물용 코크스의 발열량이 야금용 코크스가 높았다.
Table 1
Proximate Analysis of Foundry and Metallurgical Coke (Unit: wt%)
| Moisture | Volatile | Ash | Fixed Carbon | Calorific value (J/g) | |
| Foundry coke | 0.9 | 1.2 | 14.3 | 83.6 | 7245.9 |
| Metallurgical Coke | 1.2 | 1.6 | 9.7 | 87.5 | 6876.8 |
Fig. 1은 연소 실험 장비의 모식도를 보여주며 TGA(Thermo Gravimertic analysis) 법으로 고체 연료의 연소속도를 측정하였다. 사용된 코크스 샘플들은 373K에서 24시간 건조 후 수분을 제거 후 500 μm이하로 파쇄하여 실험에 사용하였다. 모든 실험에서 코크스 샘플들의 무게는 약 8g으로 일정하게 하였고, 15 × 20mm 사이즈로 펠렛으로 제작하여 연소 실험을 진행하였다. 먼저, 펠렛 형태의 샘플들을 Pt mesh에 장입하여 Pt wire와 연결하여 저항로 내부에 위치하도록 하였다. 상온에서 N2 가스를 500 ml/min으로 2시간 동안 불활성 분위기로 취한한 후, 저항로 내부의 온도를 승온하였다. 승온 시간은 2시간으로 목표 온도인 1273, 1373, 1473K 도달 후 Dried Air 분위기로 500와 800 ml/min으로 총 2가지 유량에서 실험을 진행한다. Dried Air 분위기에서 연소가 끝나는 지점까지 실험을 진행 후 무게 감량이 끝나는 지점에서 샘플을 회수하였다. 반응이 끝난 샘플은 저항로 안에서 서냉 후 회수하였으며, 잔여 회분은 XRD로 분석하였다.
Fig. 2는 불활성 분위기(N2 가스)로 2시간동안 치환후에 목표 온도까지 승온 중에 측정된 코크스 샘플들의 무게 감량을 보여준다. 목표 온도가 1273K일 경우, 주물용 코크스의 무게가 약 2% 정도 감소하였으며, 1373 K과 1473K에서는 Fig. 2와 같이 무게 변화가 거의 없었으며, 1273K에서도 동일하게 무게 변화가 없었으나 본연구에서 생략하였다. 야금용 코크스의 경우 약 973K 부근에서 2%의 무게 감소를 측정되었다. 본 실험에서는 산소와의 연소 반응에 의한 무게 변화와 비교하여 승온중 무게 변화는 미미한 것으로 가정하였고, Dried Air 취입을 통해 무게 변화는 산소와의 연소 반응으로 인한 것으로 판단하였다.
3. 결과 및 고찰
3.1. Dried Air의 유량에 따른 연소속도에 대한 온도 영향
Cupola로는 고로와 비교하여 형태가 단순하며 건설비와 투자비가 저렴하다. 고로와 유사하게 Cupola로에서도 하부의 풍구로부터 유입된 공기 중의 산소는 장입 코크스와 다음과 같은 산화 반응이 일어난다5,6,7,8,9,10).
반응식 (1)과 (2)은 발열반응이며 각각 코크스의 완전 연소식과 불완전 연소식을 나타낸다. 식 (3)은 흡열반응으로 Boudouard 반응 또는 Solution Loss 반응으로 알려져 있다. 일반적으로 용광로에서는 산화물인 철광석의 환원 반응에 필요한 CO 가스를 다량 발생하는 코크스가 필요한 반면, Cupola에서는 장입물의 용해를 위해 코크스 연소(산화) 열이 높은 코크스가 필요하다. 즉, 고로에서는 반응식 (2)와 (3)의 반응을 통해 CO가스를 다량 생성이 가능한 다공성의 코크스가 필요하나, Cupola에서는 반응식 (1)을 촉진하기 위한 대립의 코크스가 필요하다가 알려져 있다8,9,10).
따라서, 본 연구에서는 주물용 및 야금용 코크스를 큐폴라 연료원으로 사용하기 위해 Air 분위기에서 연소 속도를 조사하였으며, 분말 형태로 퍨릿화하여 기공의 차이는 고려하지 않는 조건에서 온도와 유량의 실험을 진행하였다.
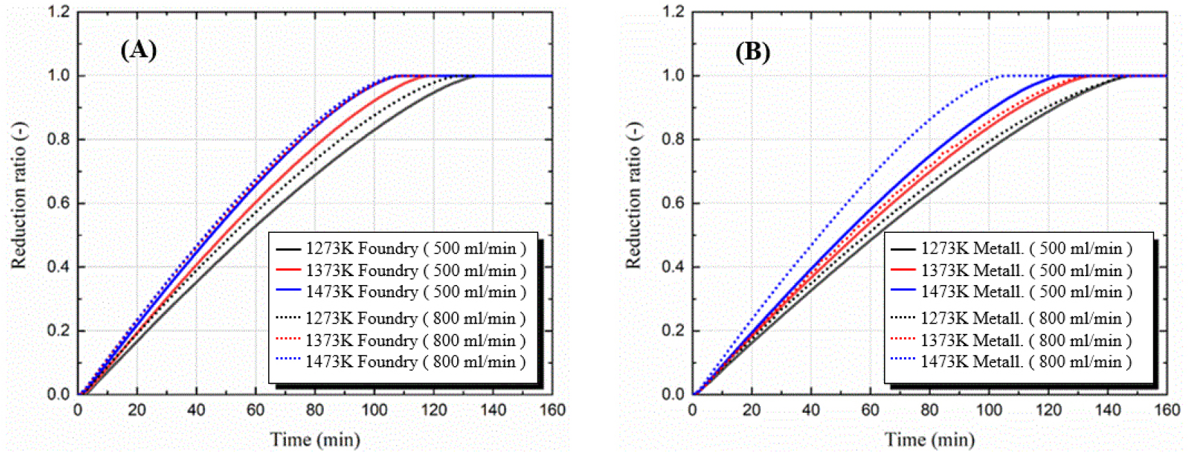
Fig. 3은 온도가 각각 1273, 1373, 1473K에서 Dried Air의 유량을 500ml/min 및 800ml/min로 제어한 조건에서 시간에 따른 코크스의 무게 변화 결과를 보여준다. 무게 변화는 식 (4)로 계산하며 wi, wt, wf는 각각 샘플의 초기 무게(g), 시간 변화에 따른 무게(g), 최종 시점 무게(g)를 나타낸다.
Fig. 3과 같이 모든 온도 조건에서 동일한 유량일 때 야금용 코크스가 주물용 코크스보다 산소 가스와의 반응성이 유리하므로 완전 연소에 도달하는 시간이 빠르다고 판단된다. 그리고 높은 유량에서 완전 연소 시간이 짧아짐을 알 수 있다.
Fig. 4(A)와 (B)는 각각 야금용 코크스와 주물용 코크스의 연소 속도에 대한 온도와 유량의 영향을 비교한 그래프를 나타낸다. 먼저, 저유량에서는 연료의 종류와 상관없이 반응 온도가 높을수록 연소속도가 빠르다는 것을 알 수 있다. 유량이 높은 조건에서는 야금용 코크스의 경우 1373 K과 1473 K이 거의 유사한 것으로 Fig. 4(A)에서 알 수 있었다. 그리고, 주물용 코크스의 경우 1473 K에서 연소 속도가 비교적 빠르다고 판단된다.
Fig. 5는 연소 실험 종료 후 회수한 주물용 코크스와 야금용 코크스 회분을 XRD로 분석한 결과이다. 두 코크스의 회분은 거의 유사한 상으로 관찰되었으며, 대부분 SiO2와 Al2O3로 이루어지고, Fe2O3와 CaO도 미량으로 함유한다고 판단된다.
3.2. 코크스의 연소속도 상수(kc)
Cupola 내 온도 변화를 예측하기 위해서는 코크스의 연소속도 상수는 매우 중요한 역할을 한다. 코크스의 연소속도 빠를 경우 중상부에서 고온이 형성되어 하부까지 전달되지 않으며, 연소속도가 느린 경우 연소 시간이 길어져서 장입물의 용융 시간이 길어질 수 있다. 즉, 생산성과 에너지 효율을 파악하기 위해 코크스의 연소속도 상수를 도출하는 것은 중요하다. 또한, 연소 속도 상수는 실험적 데이터와 이론적 모델을 연결하는 중요한 매개체이며 속도론적 해석에 적용되어 실제 공정에서의 연소 거동을 예측하는 데 있어서 중요하다. 본 연구에서는 장입한 각 코크스들의 무게를 기준으로 구형으로 가정하여 아래의 식들을 이용하여 연소 속도 상수를 구하였다13).
식 (5)는 연소 속도 상수를 구하는 식이며, 식 (5)에서 코크스의 연소 반응에 의한 무게비 변화(F)는 식 (4)로 구하였다. 식 (6)은 Ranz-Marshall’s equation을 이용하여 가스층에서의 질량 이동 상수(kf)를 구할 수 있으며, ‘Sh’는 Sherwood number를 의미한다. 식 (4)에서 α는 식 (5)와 식 (7)을 통해 구하며 산소 가스의 온도에 따른 확산 계수는 식 (8)로 구할 수 있다. Table 2에 나타낸 각 상숫값과 Fig. 3과 같은 연소 실험 결과를 활용해 연소속도 상수(kc)를 얻을 수 있다.
Table 2
Description of Symbol
Fig. 6(A)와 (B)는 각각 유량이 500 ml/min과 800 ml/min에서 얻어진 연소속도 상수와 온도와의 관계를 보여준다. 먼저 유량과 관계없이 온도가 증가할수록 연소속도 상수는 증가하며 주물용 코크스보다 야금용 코크스의 속도상수가 높은 것을 알 수 있다. 또한, Fig. 6(A)와 (B)를 비교했을 때 산소 유량이 높은 조건에서 속도상수가 증가하는 것을 알 수있다.
Fig. 6(A)와 같이 가스 유량이 500ml/min에서 얻을 수 있는 연소속도 상수와 온도와의 관계를 식 (9)와 (10)으로 정리하였고, Fig. 6(B)의 관계는 식 (11)과 (12)로 나타내었다.
본 연구를 통해 주물용 코크스는 연소속도가 유량이 높아도 야금용 코크스보다 느린 것을 알 수 있으며, Table 1에서 보여주는 것처럼 발열량은 높다는 것을 알 수 있다. Cupola에서의 코크스는 열원으로 활용되며 로 하부에서 상부로 열원이 전달되어야 하므로 연소 속도가 상대적으로 느린 주물용 코크스가 야금용 코크스보다 적합하다고 판단된다. 향후, Cupola 내부 온도 분포를 예측하기 위해 Cupola 모델 개발과 함께 본 연구에서 얻어진 식 (9)~(12)를 활용할 예정이다.
4. 결 론
본 연구에서는 주물용 및 야금용 코크스의 연소 속도에 대한 온도 및 공기 유량에 대한 미치는 영향을 조사하였다. 다음과 같은 결론을 얻었다.
1) 주물용 및 야금용 코크스는 연소 온도 및 산소 유량의 증가와 함께 연소속도가 증가한다. 주물용 코크스의 회분양은 야금용 코크스보다 많으나 연소 반응후 회분의 성분은 유사한 것으로 판단된다. 온도에 따른 주물용 코크스 연소속도 상수는 야금용 코크스보다 낮았다.
2) 온도에 따른 주물용 코크스 연소속도 상수는 야금용 코크스보다 낮았으며, 다음과 같은 연소속도 상수와 온도와의 관계식을 얻었다. 산소 유량이 500 ml/min 일 때 관계식은 다음과 같다.
산소 유량이 800 ml/min일 때 관계식은 다음과 같다.








