1. 이론적 배경
질소화합물은 광화학 반응을 통해 2차 미세먼지와 오존 등 유해물질을 생성하기 때문에 대표적인 대기오염 물질로 거론되고 있다. 시멘트 산업에서 연간 배출하는 질소산화물은 전체 산업에서 배출하는 질소산화물의 약 20% 이상으로 고온소성이 필수적인 업종특성에 따라 사용하는 원료 및 연료특성과 관련된 질소산화물 배출이 불가피한 실정이다1,2). 시멘트 소성로에서 발생하는 질소산화물 발생량을 감축하기 위해 다단연소, SNCR 공정적용, 원료물질의 전처리 및 사용방법 체계화 등의 대책을 강구하고 있지만 환경규제 강화에 따른 질소산화물 배출 허용기준을 만족시키기 위해서 실질적인 적용성을 고려한 방법이 필요한 시점이다2,3,4).
질소산화물 배출량 감축을 위해 시멘트 킬른에 다단연소를 적용할 경우, 산화/환원 구간이 필수적인데 질소산화물의 분해온도 및 반응온도를 고려해 약 700~900°C 온도대역의 calciner에 산화/환원 시스템을 적용할 수 있다3,5,6). 다만, calcnier는 원료의 결정수분 증발 및 석회석의 초기 탈탄산 반응이 진행되는 부분으로 산화/환원 구간 적용에 따라 원료의 소성특성에 영향을 미쳐 최종 생산품의 품질확보가 어려울 수 있기 때문에 안정적인 품질의 시멘트 클링커를 생산하기 위한 최적 소성조건도출이 필요하다4,5,6,7).
본 연구에서는 시멘트 킬른 중 calciner에 산화/환원 구간 적용 시 원료물질의 소성특성에 따른 시멘트 클링커의 품질재현성을 거시적으로 규명하고자 하였으며, TG/DSC 열분석 기기를 활용해 산화/환원 소성분위기에 따른 저품위 석회석 및 시멘트 조합원료의 열분해 특성을 조사하였다.
2. 실험방법
2.1. 원료특성
본 연구에서 활용한 시멘트 조합원료는 석회석, 철광석, 점토, 플라이 애쉬 등이 혼합된 혼합물질로서 단일물질에 비해 명확한 열분해 특성 확인이 어려울 것으로 예측되었다. 이에 시멘트 조합원료 주요물질인 석회석의 열분해 특성을 참고해 시멘트 조합원료의 열적특성을 분석하고자 하였으며, Table 1에 석회석 및 시멘트 조합원료의 화학분석(X-선 형광분석기; XRF) 결과를 나타내었다. 화학분석결과, 석회석의 CaO 및 SiO2 함량은 각각 50.9% 및 8.1%로 시멘트 조합원료의 CaO 및 SiO2 함량 각각 48.1% 및 9.3%와 비교적 유사한 화학성분을 나타내고 있는 것을 알 수 있었다. 다만, 시멘트 조합원료의 경우, 재료특성에 따라 조합원료를 구성하는 여려 재료들로부터 공급된 Ca 성분으로 일반 석회석과는 열분해 특성에 차이가 있을 것으로 생각되며, 이 외에도 미량의 Al2O3, Fe2O3 및 MgO 성분이 함유되어 있기 때문에 소성거동 예측이 다소 명확하지 않을 수 있다. 일반적으로 Ca 성분이 낮은 저품위 석회석 일수록 초기 열분해가 빠르게 진행되지만 시간이 지날수록 열분해 속도가 낮아지며, 최종적으로 Ca 성분이 높은 고품위 석회석의 탈탄산반응이 먼저 종료되는 특성을 나타내는데, 이를 고려했을 때, 산화/환원 소성분위기를 배제하더라도 석회석보다 시멘트 조합원료의 열분해가 더 빠르게 진행될 것으로 예측되나8), 불순물 종류 및 함량에 따른 소성거동 예측이 어렵기 때문에 시험적인 고찰이 요구된다. 시험적인 고찰이 요구된다. 광물상 분석(X-선 회절시험; XRD)결과(Fig. 1(a)) 석회석 및 시멘트 조합원료의 주요광물상은 CaCO3, SiO2 및 미량의 돌로마이트(CaMg(CO3)2)인 것을 알 수 있었으며, 열분석(시차주사열량측정 및 열중량 분석시험; TG/DSC)결과(Fig. 1(b)) 800°C 부근 유사한 시점에서 탈탄산반응에 의한 흡열피크를 확인할 수 있었다. 괴 상태로 수급된 석회석은 미분으로 수급된 시멘트 조합원료와 유사한 입도를 나타내도록 볼밀을 활용해 분쇄하여 원료로 활용하였으며, 석회석 및 시멘트 조합원료의 입도분석(Particle size analyzer; PSA) 결과, 평균입도 25μm 내외로 유사한 입도특성을 나타내는 것을 알 수 있었다(Fig. 1(c)).
Table 1.
Chemical properties of limestone and cement raw meal (unit : %)
| CaO | SiO2 | Al2O3 | Fe2O3 | MgO | Ignition loss | Sum | |
| Limestone | 50.9 | 8.1 | 0.1 | 0.2 | 0.4 | 40.2 | 99.9 |
| Cement raw meal | 48.1 | 9.3 | 3.1 | 2.6 | 1.9 | 33.5 | 98.5 |
2.2. 실험방법
원료물질의 열분해 특성은 TG/DSC 열특성 분석장치(독일 NETZSCH, STA 449C Jupiter)를 이용해 관찰하였으며, 산화/환원 분위기조성을 위해 MFC(mass flow controller)를 연결하여 산소(O2) 및 질소(N2) 가스를 적정 농도로 주입하였다(Fig. 2). 소성온도는 시멘트 소성로 calciner의 온도대역을 고려해 750~950°C로 하였으며, Table 2 및 Table 3에 시험방법 및 시험조건에 따른 샘플명을 나타내었다.
Table 2.
Experimental conditions of differential scanning calorimetry (DSC)
3. 실험결과
산화/환원 소성분위기에서 소성온도에 따른 원료물질의 열분해 특성을 질량변화로 관찰하였으며, 실험결과, 대체로 산소농도가 높아지는 산화분위기에서 열분해가 빠르게 진행되는 것을 알 수 있었다(Fig. 3 및 Fig. 4). 산화분위기 형성에 따른 열분해 촉진현상은 일반적인 석회석의 열분해 온도범위 보다 낮은 750°C에서 비교적 뚜렷하게 확인할 수 있었으며, 800°C 이상의 온도에서는 열분해 반응시작과 종료가 거의 동시에 진행되어 산화/환원 소성분위기에 따른 열분해 특성 차이를 구분할 수 없었다.
석회석과 시멘트 조합원료의 열분해 특성 비교 시 시멘트 조합원료의 열분해가 석회석보다 빠르게 진행되는 것을 알 수 있었는데, 시멘트 조합원료의 경우 저품위 석회석을 비롯해, 점토질 물질, 슬래그 등의 산업부산물, 철질류 등이 혼합되어 있는 재료적 특성으로, 불순물 및 알칼리 성분이 높아 상대적으로 열분해 온도가 낮아졌기 때문으로 생각되며9), 이에 반해 석회석의 경우, 시멘트 조합원료보다 CaO 성분이 높아 소성 시 CO2 분압차에 의해 열분해가 원활하지 않아 두 재료의 열분해 특성에 차이가 있는 것으로 판단된다10,11). 다만, 시멘트 조합원료의 경우, 조합원료를 구성하는 재료의 종류, 재료간 혼합 균질성, 혼합물질의 입도특성에 따라 열분해 특성에 차이가 발생할 수 있기 때문에 반복실험을 통한 재현성 확보가 필요한 것으로 보여진다.
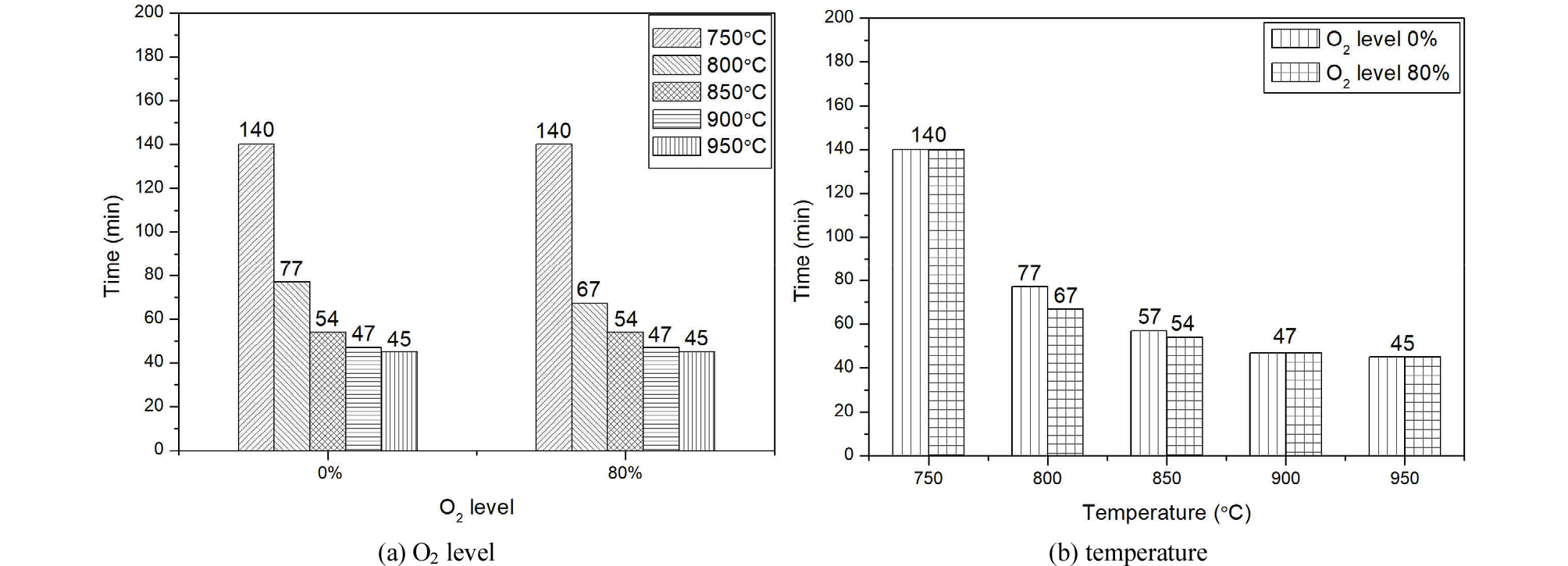
소성분위기에 따른 열분해 특성을 명확히 구분하기 위해 환원분위기인 산소농도 0%와 산화분위기인 산소농도 80%에서 원료물질의 열분해 종료시점을 관찰하였으며(Fig. 5 및 Fig. 6), 대체로 환원분위기 대비 산화분위기에서 소성완료시간이 단축되는 경향을 확인할 수 있었다. 석회석의 경우(Fig. 5), 환원분위기에서 온도 750°C 일 때, 180분 동안 소성시에도 열분해가 완료되지 않아 명확한 소성완료시간을 확인할 수 없었지만, 소성완료시간을 180min 이라고 가정했을 경우, 산화분위기 형성 시 환원분위기 일 때 보다 최대 약 17% 가량 소성시간이 단축되는 것을 알 수 있었으며, 시멘트 조합원료(Fig. 6)의 경우, 소성온도에 따라 약 5~13% 가량 소성시간이 단축되는 것을 확인할 수 있었다.
일반적으로 유연탄의 열분해 과정에서 배출된 C(탄소)는 킬른 내부 산소가스와 반응해 CO2(이산화탄소)를 형성하는데 이 과정에서 CO2 분압이 증가함에 따라 원료물질의 열분해 특성이 저하될 수 있다. 이에, 실제 시멘트 생산공정에서는 1차, 2차 가스 등으로 산소가스를 지속적으로 주입하여 원료물질의 열분해 특성이 유지될 수 있는 소성분위기를 형성하는데, 이때, 산소농도가 높아질 경우, 산소분자와 화염의 접합률이 높아지면서 화염크기 증가 및 이에 따른 킬른 내부 온도증가 등의 현상으로 원료물질의 소성특성이 증대될 수 있다. 본 연구의 경우에도 이와 같은 현상으로 환원분위기 보다 산화분위기에서 원료물질의 소성완료시간이 단축된 것으로 보여지며11,12), 환원구간 설정 시 원료물질의 탈탄산이 원활하게 유지될 수 있도록 입자의 체류시간 및 추가열량을 고려한 최적의 소성분위기 조정이 필요한 것으로 판단된다.
Fig. 7 및 Fig. 8에 소성시간에 따른 원료물질의 탈탄산률을 나타내었다. 석회석과 시멘트 조합원료의 탈탄산률은 각각 40% 및 35%로 원재료 CaO 함량에 따라 차이가 있는 것을 알 수 있었으며, 기 연구사례와 유사한 결과로서 대체로 환원분위기보다 산화분위기에서 열분해가 더 빠르게 진행되었다. 특히 석회석의 경우, 소성온도 750°C에서 산화/환원 소성분위기에 따라 소성률에 비교적 큰 차이가 있는 것을 알 수 있었는데, 산소농도 0%인 환원분위기에서 소성 시 탈탄산률은 약 33%로 약 82%만 소성이 완료되었으며(Fig. 7 및 Table 4), 산소농도 80%인 산화분위기에서 탈탄산률은 약 40%로 소성이 100% 완료되어 기 연구결과와 유사한 경향성을 나타내었다. 시멘트 조합원료의 경우(Fig. 8 및 Table 5) 대체로 석회석보다 열분해가 빠르게 진행되었으며(Fig. 7 및 Table 4), 이는 시멘트 조합원료 혼합 물질 자체 특성 및 각 재료의 Ca 함량에 따른 CO2 분압 차이에 의한 현상으로 보여진다.
4. 결 론
1) 환원분위기 보다 산화분위기에서 원료물질의 소성이 빠르게 진행되는 것을 알 수 있었는데, 이는 산화분위기 형성 시 주입되는 O2 가스에 의해 열효율이 향상되어 원료물질의 탈탄산률이 증가되었기 때문으로 생각된다.
2) 대체로 시멘트 조합원료가 석회석 보다 빠른 열분해 특성을 나타내는 것을 알 수 있었는데, 시멘트 조합원료의 경우, 혼합물로서 구성재료의 특성에 따라 알칼리 성분 및 불순물에 의해 소성온도가 낮아졌기 때문으로 생각된다. 반면에 석회석의 경우, CaO 함량이 시멘트 조합원료보다 높아 소성 시 CO2 분압에 의해 열분해 온도가 향상되어 시멘트 조합원료 보다 늦은 열분해 특성을 나타낸 것으로 보여진다.
3) 소성온도 750°C 일 때, 환원분위기에서 석회석의 탈탄산률은 약 82%로 열분해가 완료되지 않았다. 반면에 산화분위기에서 소성했을 경우, 소성률은 100%를 나타내며, 환원분위기보다 산화분위기에서 원료물질의 열분해가 더 빠르게 진행되었으며, 시멘트 조합원료도 유사한 경향을 나타내었다.
4) 산화/환원 소성분위기 따라 원료물질의 소성특성에 가장 큰 영향을 미치는 온도는 750°C 내외로 석회석의 탈탄산 온도보다 다소 낮은 온도대역으로 생각된다.
5) 이에 일반 석회석의 열분해보다 낮은 온도범위에 산화구간을 설정함에 따라 원료물질의 열분해 효율 증대 및 소성로의 열효율 증대를 기대할 수 있을 것으로 예측되지만, 본 연구는 기기분석을 통한 결과로서 현장공정 적용을 위해서는 pilot plant규모의 실검증 결과가 필요한 것으로 판단된다.










