1. 서 론
2. 실험방법
2.1. 시료 준비
2.2. 폐 PCT로부터 폴리올 제조
2.3. 폴리우레탄의 합성
2.4. 측정 및 특성화
3. 결과 및 논의
3.1. PCT 폐기물로부터 에스터 폴리올 합성
3.2. 에스터 폴리올(PU-rPOL)의 폴리우레탄
3.3. EDTA의 효과
4. 결 론
1. 서 론
지난 수십 년 동안 poly(ethylene terephthalate)(PET)는 강도, 투명성 및 내화학성으로 인해 식품 포장, 섬유 및 필름 생산에 널리 사용되었다. 응용 분야를 확대하기 위해 폴리머 사슬의 에틸렌 글리콜단위를 1,4-cyclohexanedimethanol(CHDM), D-isosorbide(ISB)와 같은 다른 글리콜로 대체하여 새로운 PET 유도체를 생성하였다. 그 중 poly(1,4-cyclohexylenedimethylene terephthalate)(PCT)는 CHDM1)의 고리 구조 덕분에 우수한 내열성과 우수한 기계적 특성을 지닌 반결정성 폴리에스테르로 이용되고 있다. PCT를 사용한 배터리 포장을 포함한 각종 포장 및 내열 투명용기의 활용과 3D 프린팅 공정에서의 적용등 PCT의 적용과 사용량이 확대되고 있으며 이에따른 폐PCT의 재활용 기술 개발은 중요도가 높아지고 있다. 폐 플라스틱 재활용 공정은 물질 재활용과2) 화학적 재활용 공정으로 대별되며, PCT에 대한 화학적 재활용 연구는 매우 제한적으로 보고되고 있다3,4). 기존의 PET 해중합에서는 180ºC 이상 공정온도에서 zinc acetate로 대표되는 Zn2+ 촉매를 사용하는 해중합 공정을 적용하고 있다. 하지만 PCT는 고분자 주사슬 내에 사이클로헥실렌 고리를 가지고 있어 에스터 교환반응의 입체장애를 유발하여 기존의 공정조건에서는 PET와 달리 에스터교환 반응에서 낮은 반응성을 보여 해중합 반응성이 저하되는 문제점이 있다. 우리는 이전 연구에서, 개선된 Zn2+-알콕사이드 촉매 조건을 제안하였고 해중합에 대한 PCT의 낮은 반응성을 극복하여 폴리머 사슬에서 CHDM 단위를 글리콜로 고효율로 치환할 수 있음을 보고하였다3). 본 연구에서는 PCT 해중합을 통해 얻게되는 저분자 에스터디올을 직접 폴리우레탄(PU) 생산에 사용되는 에스터 폴리올로 활용하는 기술을 제시하고자 한다. 본 연구에서는 PCT 해중합을 통해 얻게되는 저분자 에스터디올을 직접 폴리우레탄(PU) 생산에 사용되는 에스터 폴리올로 활용하는 기술을 제시하고자 한다. 에스터 폴리올은 일반적으로 카르복실산과 디올의 축합에 의해 제조되며 이는 디이소시아네이트(diisocyanate)와 반응하여 PU 고분자의 주사슬을 이루는 역할을 한다. PCT 해중합 반응물을 이러한 에스터 폴리올에 직접 적용할 수 있으면, 폴리머의 화학적 재활용의 중요한 활용처를 확보하는 효과를 얻게된다.
한편, PU 생산에 적합한 폴리올은 1차 수산기, 저분자량 및 낮은 점도(실온 또는 40–60ºC의 저온에서 액상)와 같은 몇 가지 공통적인 요구특성을 만족하여야 한다5). 하지만 고분자 폴리에스터의 해중합 과정에서는 직접 폴리올로 활용이 어려운 생성물로 형성된다. 고온에서 디올을 제거하는 과정에서 에스터교환반응이 일어나면서 분자량과 점도 상승의 문제가 나타난다. 해중합 반응에서 존재하는 Zn2+ 촉매에 의해 촉진되는 재중합은 일반적으로 분자량과 점도 증가를 수반하여 실온에서 응고되는 경향이 있다. 이와 같은 고체 폴리올은 고체 이소시아네이트(예: 4,4'-methylene-bis(phenyl isocyanate(MDI), PU 제조에서 일반적으로 사용되는 이소시아네이트)를 성분으로하는 폴리우레탄 합성에서 문제를 나타낸다. 즉, 고체 폴리올과 고체 MDI를 혼합하면 불균일한 혼합물이 생성되고 성분전달의 한계로 인해 반응 속도가 감소한다. 결과적으로 불균일한 성분 분포와 반응 완결을 보이는 중합체가 얻어지고 PU의 물성과 잔류성분에 큰 영향을 미친다.
PU 제조에 최적인 폴리올을 PCT 해중합 공정에서 직접 얻기 위해서는 에스터교환 반응이 억제된 조건에서 과량의 디올의 제거와 저분자량 에스터 디올의 농축이 요구된다. 본 연구에서는 촉매의 에스터교환 반응을 억제하는 방법으로 킬레이트화 화합물을 사용하고 최적 점도 범위인 1000cP 미만으로 폴리올 직접 사용이 가능한 해중합 생성물을 제조하고자 하였다.
EDTA는 4개의 카르복실레이트와 2개의 아민 그룹을 통해 금속이온과 안정한 복합체를 형성하는 데 사용되는 킬레이트 화학 물질 중 하나이다. EDTA는 고유한 특성으로 인해 많은 산업, 농업 및 생물학적 활동에서 중요하게 적용되고 있다6,7,8,9,10,11,12). 이 연구에서 EDTA는 생성된 폴리올의 Mw 증가로 이어지는 추가 에스테르 교환 반응을 억제하기 위해 Zn2+ 촉매의 비활성화에 적용되었고, 이를 통해 저분자량의 액체 폴리올이 생성되었다. 개발된 폴리올의 적용 가능성은 열적으로 안정하고 기계적 물성이 우수한 PU 제조에 적용하여 효과를 확인하였다. 이러한 기술은 폐 PCT의 화학적 재활용 방법과 그 생성물의 중요한 활용처를 제공할 것으로 보인다.
2. 실험방법
2.1. 시료 준비
Diethylene glycol(DEG), diethyl ether, chloroform, ethylenediaminetetraacetic acid(EDTA), 4,4’-methylene-bis(phenyl isocyanate)(MDI), 1,4-butanediol(BD), dimethylformamide(DMF), methanol은 ThermoFisher Scientific에서 구입하였다. Zinc methoxide(Zn(OMe)2)는 Merck 에서 구매했다. 모든 시약은 받은 그대로 사용하였다. 시판품으로 구성된 PCT 폐기물을 chloroform, diethyl ether로 처리한 후 건조하고 분쇄하여 분말화하였다.
2.2. 폐 PCT로부터 폴리올 제조
2구 플라스크에 PCT(10g), DEG(100mL) 및 zinc methoxide(0.01g)을 넣었다. 혼합물을 190℃에서 8시간 동안 교반하고 반응 시간 동안 N2를 purging하였다. PCT의 해중합 후, EDTA(0.035g)을 첨가하고 DEG를 제거하기 위해 190℃에서 진공 증류를 하였다. 그 후 샘플을 1H NMR, GPC, viscometer로 분석하여 반응물의 구조, 분자량, 점도 변화를 확인하였다. 제조된 생성물을 rPOL로 명명하였다.
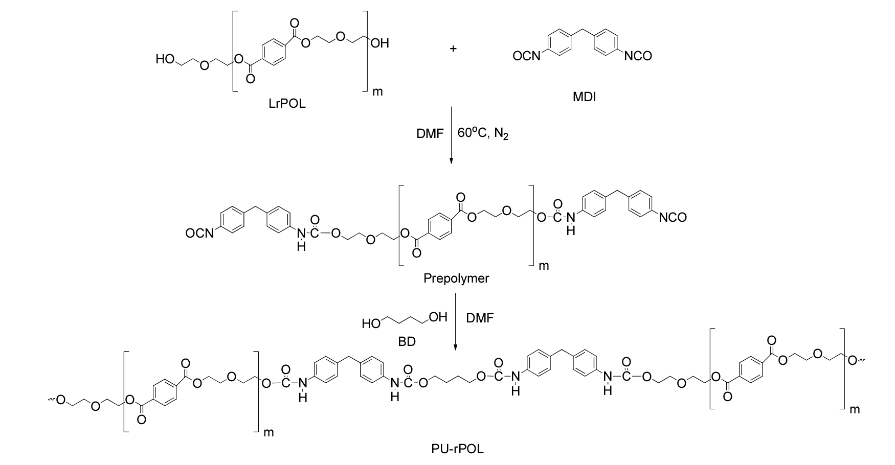
2.3. 폴리우레탄의 합성
rPOL과 MDI(OH:NCO = 4:5)를 2구 둥근 바닥 플라스크 반응기에 넣고 N2 가스 하에 60℃에서 약 4시간 동안 교반하여 NCO-terminated pre-polymer를 얻었다. 반응 중 점도 조절을 위해 DMF를 첨가하였다. DMF에서 화학양론적 양의 BD를 반응기에 주입하고 60°C에서 18시간 동안 완전히 혼합했다. 반응 혼합물을 실온으로 냉각시키고 과량의 메탄올을 가하여 형성된 폴리우레탄을 수득하였다. 생성물을 메탄올로 세척하고 진공 건조하였다. 건조 후 일정량의 폴리우레탄(PU-rPOL)을 DMF에 녹이고 초음파 처리하여 균일한 용액을 얻었다. 생성된 용액을 테프론 몰드에 붓고 60℃의 진공 오븐에 넣어 용매를 제거하였다. 얻어진 PU-rPOL 박막의 두께는 약 0.1mm였다.
2.4. 측정 및 특성화
1H 및 13C NMR 스펙트럼은 NMR 용매로서 chloroform-d(CDCl3)를 사용하였고 AVANCE III 400 NMR 분광계(Bruker)를 사용하여 얻었다. GPC 시스템(Shimadzu)은 용매 펌프(LC-20AD)와 굴절률 검출기(RID-10A)로 구성되어 있다. HPLC 등급 chloroform을 1.0mL/min 유속에서 이동상으로 사용했다. 주어진 전단 속도에서 Brookfield DV2T(America) 점도계를 사용하여 폴리올의 점도를 측정했다. 샘플은 실온에서 24시간 동안 안정화되었고 측정은 25°C에서 수행되었다. 폴리올의 산가 및 히드록실가는 ASTM D-4274-99 시험 방법에 따라 측정하였다.
적외선 스펙트럼은 폴리우레탄 구조를 식별하기 위해 적외선 푸리에 진공 분광계(VERTEX 80v)를 사용하여 400-500cm-1의 파장 범위에서 기록되었다. 열 거동은 열중량 분석(TGA) 및 시차 주사 열량계(DSC)를 위해 TA Instruments Auto-TGA Q5000 및 AUTO Q2000을 사용하여 기록되었다. PU-rPOL 필름의 기계적 성질은 범용 시험기를 사용하여 10mm/min의 크로스헤드 속도에서 인장 시험을 통해 조사되었다.
3. 결과 및 논의
3.1. PCT 폐기물로부터 에스터 폴리올 합성
PCT 플라스틱 폐기물을 폴리올로 재활용하기 위한 1단계 프로세스를 Fig. 1에 도시하였다. 이 과정에서 PCT는 과량의 DEG로 인해 에스테르 결합이 끊어지고 CHDM 부분이 DEG 부분으로 대체되었다. PCT는 DEG 말단 모노머와 올리고머로 분해된다. NMR 분광법으로 PCT의 해중합에 모노머와 올리고머 구조를 확인했다(Fig. 2). 8.0ppm의 피크는 방향족 고리에 기인한 반면, 3.62, 3.72, 3.82 및 4.48ppm의 피크는 DEG 부분의 메틸렌 그룹에 기인했다. 3.56ppm의 신호는 생성물 구조에 하이드록실 말단 그룹이 존재함을 나타낸다. 즉, 해중합 후 PCT 사슬의 CHDM은 성공적으로 DEG로 대체되었음을 나타내었다(Fig. 2).
GPC 곡선은 PCT가 저분자량 올리고머로 전환되는 정도를 나타내고 있다. 디올로 사용되는 DEG의 중량비가 PCT:DEG = 1:10로 도입됨에 따라 해중합이 빠른 속도로 진행되어 대략 342 및 572의 분자량을 갖는 해중합 생성물을 생성하였다. GPC를 사용하여 계산된 Mw 값은 m = 1 및 2에 해당한다. 25.2분과 25.7분의 머무름 시간에서의 피크는 혼합물에서 모노머와 다이머의 존재를 확인할 수 있다(Fig. 3와 Table 1).
Fig. 3는 디올 제거 과정에서 EDTA를 적용하여 제조한 폴리올과 적용하지 않고 얻은 폴리올의 차이를 보여준다. EDTA 없이 생성된 폴리올의 경우 GPC 곡선이 훨씬 더 짧은 머무름 시간으로 이동하여 고분자량 분자가 생성되었음을 나타낸다. 이 과정은 DEG의 회수와 함께 단량체 및 올리고머의 재중합 진행으로 설명할 수 있다. 중합은 디올의 제거에 따른 감소와 생성된 폴리올의 점도를 크게 증가시킬 수 있는 활성 Zn2+ 촉매의 존재로 인해 DEG 제거 중에 발생한다. 따라서 EDTA가 없는 상태에서 얻은 고체 폴리올(SrPOL)은 높은 분자량과 점도를 나타내고, Zn2+ 촉매의 비활성화 혹은 제거가 되지 않은 경우 저분자 폴리올의 생성이 어려움을 나타낸다(Table 1).
PCT의 해중합 이후 과량의 DEG을 제거할 때 EDTA 존재 하에서 수 평균 분자량(Mn)과 평균 분자량(Mw)은 약간 증가했다. 킬레이트화에 의해 Zn2+ 촉매를 비활성화하는 EDTA 기능의 결과로 LrPOL에서는 1차 단량체, 이량체 및 삼량체가 상당한 양(>90wt%)으로 보존되었다. 따라서 EDTA를 첨가하면 Zn2+ 이온을 차단하고 화합물의 촉매 중축합을 억제하여 고분자량의 폴리올 생성을 방지한다. DEG를 제거해도 최종 생성물의 점도는 400cP로 유지되었다(Table 1). 본 연구에서 LrPOL의 acid value는 1mg KOH/g 미만이며 hydroxyl value는 약 300mg KOH/g으로 폴리에스터 폴리올에 적합한 상태이다.
Table 1.
Characteristics of glycolyzed products and rPOLs
| Samples |
Mnc (g/mol) |
Mwc (g/mol) |
Mw/Mn (PDI) |
Viscosity (cP, RT) |
>=Trimer/Dimer/ Monomer Ratioc |
| Glycolyzed PCT | 350 | 357 | 1.02 | 44.4 | 0/3/97 |
|
SrPOLa (without EDTA) | 682 | 770 | 1.13 | >3000 | 60/20/20 |
|
LrPOLb (with EDTA) | 357 | 364 | 1.02 | 402.0 | 1/8/91 |
3.2. 에스터 폴리올(PU-rPOL)의 폴리우레탄
Fig. 4에서 PU-rPOL 합성을 위한 일반적인 절차를 도시하였다. Fig. 5의 FT-IR 스펙트럼에서는 LrPOL이 PU-rPOL로 구조적으로 변환되었음을 확인할 수 있다. 수산기 흡수 밴드는 3400cm-1에서 관찰되었으며, 2950-2950cm-1에서 특징적인 알킬 및 C-H 흡수 밴드와 함께 관찰되었다. 1716, 1270 및 1102cm-1에서 강한 흡수 밴드는 테레프탈산 및 DEG 단위의 에스터화 결과인 에스터 그룹에서 스트레칭되는 C=O, C-O 및 C-O-C의 존재에 기인할 수 있다.
FT-IR 스펙트럼을 사용하여 생산된 폴리우레탄의 벌크 구조도 확인할 수 있다. N-H 신축 및 굽힘 진동으로 인한 3331cm-1 및 1525cm-1의 피크는 우레탄 카르보닐기의 결합된 최종 생성물에서 우레탄 연결 형성에 중요한 밴드로 간주될 수 있다. 또한 OC=O와 N-CO-O 특성 진동은 각각 1708cm-1과 1020cm-1에서 높은 흡수 밴드를 보였다. 한편, 1243cm-1 및 1101cm-1에서 스트레칭되는 C-O 및 C-O-C는 우레탄 카르보닐 그룹을 확인할 수 있다. 폴리에스터 폴리올의 나머지 신호는 731cm-1 및 대략 2959–2971cm-1에서 테레프탈레이트 및 메틸렌 그룹의 벤젠 고리의 =CH에 해당한다. 이러한 피크는 폴리에스터 폴리올이 MDI와의 반응에 참여하여 폴리우레탄 사슬로 완전히 전환되었음을 나타낸다.
열가소성 폴리우레탄(TPU)의 열 안정성은 TGA에 의해 확인되었으며, 샘플에서 여러 분해 단계를 나타냈다(Fig. 6). 온도 상승에 따라 합성된 PU는 230°C까지 열적으로 안정함을 나타내었고 이후 열분해의 시작이 나타났다. 시차중량손실(DTG) 곡선은 268°C에서 5%(T5%) 미만의 중량 손실을 나타내고, 이어서 최대 속도 분해 온도의 두 피크(Tmax1 및 Tmax2)가 나타나며 이는 폴리머의 여러 분해 단계를 나타낸다. 초기 중량 손실은 약 310°C에서 발생했으며 유연 세그먼트의 분해로 인해 발생했다. 열화의 두 번째 단계는 약 414°C에서 발생했으며, 이는 우레탄의 r-POL 경질 세그먼트에 해당한다15).
Fig. 7는 만능 시험기에 의해 결정된 PU-rPOL의 기계적 특성을 보여준다. 변형에 대한 높은 저항을 나타내는 샘플(23.87MPa)의 파단 전에 얻은 항복점은 합성된 폴리우레탄이 단단한 재료임을 나타낸다. PU-rPOL의 중합 동안 균일한 단쇄 폴리올은 디이소시아네이트와 반응하여 고밀도 및 고극성 우레탄 그룹을 가진 장쇄 폴리머를 생성한다. 다관능성 디올을 첨가하여 합성한 고체 폴리올(SrPOL)은 혼합 구조와 길이가 다른 사슬 때문에 고도로 가교결합된 PU를 형성하는 경향이 있다. 한편, 액체 폴리올(LrPOL)은 합성된 폴리우레탄의 인성과 가공 유연성을 향상시키기 위해 필요한 충분한 양의 유연 세그먼트가 있어 가지가 적은 우레탄을 형성하는 경향이 있다5,16).
3.3. EDTA의 효과
아연은 배위수가 6이고 질소와 산소에 대해 강한 친화성을 갖는 반면9,10) EDTA는 4개의 산소와 2개의 질소 원자를 통해 결합하는 6자리 리간드이다(Fig. 8). Zn-EDTA 착물에서 금속 리간드 사이의 강한 상호 작용은 두 가지 소스에서 파생된다. (i) 포획된 금속 양이온과 EDTA(산소 원자 4개와 질소 원자 2개 포함) 주변의 활성 도너 원자의 도너-억셉터 상호작용과 (ii) 음으로 하전된 카르복실산 산소 이온과 양으로 하전된 Zn2+ 이온 사이의 강한 정전기적 인력11,12)에 의한 상호작용에서 파생된다. Zn[EDTA]는 상대론적 효과11)에 의해 유지되는 Zn 원자가 오비탈의 개선된 억셉터 특성으로 인해 다른 금속 착물13,14)보다 더 안정적이다. 이 배위 복합체 형성은 Zn2+ 이온의 친전자성 및 촉매 특성을 모두 제거하여 고온에서도 에스테르 교환 반응을 방지하고 디올 제거 시 생성물의 낮은 점도를 유지한다.
4. 결 론
본 연구에서는 해중합에 DEG를 사용한 후 EDTA를 사용하여 Zn2+ 촉매를 비활성화하고 디올을 제거함으로써 폐 PCT에서 파생된 저분자량 액체 폴리올을 생성하는 방법을 설명하였다. EDTA를 킬레이트제로 사용하면 최종 생성물의 분자량 분포와 점도를 효율적으로 제어할 수 있어 원하는 특성을 가진 폴리올을 얻을 수 있다. 얻어진 저분자량, 저점도 액상폴리올은 유연 세그먼트로서 열안정성과 기계적 성질이 우수한 열가소성 폴리우레탄을 제조할 수 있게 된다. 이 프로세스는 폐 PCT에서 가치 있고 고품질의 원료를 생산할 수 있으므로 PCT 재활용 분야에서 중요한 방법을 제공할 것이다.










