1. 서 론
2. 시료 및 실험방법
2.1. 시료 및 장비
2.2. 실험방법
3. 결과 및 고찰
3.1. V, W의 흡착 특성
3.2. 침출액 내 V과 W 이온의 분리
3.3. 탈착
4. 결 론
1. 서 론
전 세계적으로 질소산화물(NOx) 배출에 대한 환경규제가 강화됨에 따라 질소산화물을 저감하기 위한 기술 중 선택적촉매환원법(Selective Catalytic Reduction : SCR)에 대한 수요가 증가하고 있다. 선택적촉매환원법은 암모니아(NH₃)를 환원제로 이용하여 촉매 상에서 질소산화물을 N₂와 H₂O로 분해하여 질소산화물을 제거하는 방법으로 80~90%의 높은 탈질 효율을 나타내고 운전과 유지보수가 용이하다는 장점을 갖는다1). SCR 탈질촉매는 일반적으로 TiO₂나 Al₂O₃를 지지체로 사용하며 V2O5, WO3, Fe2O3, CoO, NiO, MnO2, Cr2O3, CuO 등을 활성성분으로 사용한다1). 다양한 종류의 SCR 탈질촉매 중 V2O5- WO3/TiO2 촉매는 높은 NOx 전환율을 갖고 SO2의 산화를 제한하며 운전온도범위도 넓은 장점을 지녀 상용화 촉매로서 널리 이용되고 있다2). SCR 탈질촉매는 2~5년의 작동 수명을 가지는데 고온에서 장시간 운전 시 비표면적의 감소, 촉매 활성점의 오염, 인 성분 축적 등으로 인해 촉매 성능이 저하되며 비활성화가 일어난다. 비활성화된 촉매는 화학적 처리나 열처리를 통해 재생하여 사용하지만, 촉매를 반복하여 재생하게 되면 재생 처리에도 불구하고 결국 촉매의 기능을 하지 못하는 시점에 도달한다3). 이처럼 수명이 끝난 촉매는 매립되어 폐기되는데, 폐촉매에 함유된 바나듐(V)과 텅스텐(W)으로 인해 심각한 토양오염이 발생하고 희유금속 자원이 버려지는 문제가 발생한다. 따라서, 촉매와 함께 폐기되는 V, W 등의 희유금속자원을 회수하여 재활용하는 것은 폐촉매의 폐기로 인해 발생하는 환경적 문제와 희유금속자원 공급의 불안정성 문제를 위한 해결책이 될 것이다.
SCR 탈질폐촉매로부터 V과 W를 추출하기 위한 습식제련법(hydrometallurgy)은 소다 배소법(soda roasting)-수침출(water leaching) 공정을 통해 진행되는데, NaOH, Na2CO3, NaCl을 사용하여 V과 W를 수용성인 NaVO3, Na2WO4의 형태로 전환시켜 티타늄과 분리하여 V과 W만을 선택적으로 추출할 수 있다. 습식제련법으로 얻어진 침출액은 침전법, 용매추출법, 이온교환법을 사용하여 용액 내 희유금속을 분리할 수 있는데, 침전법은 공정 중 발생하는 불순물의 분리가 어렵기 때문에 제품의 순도가 낮아지는 문제점이 있으며, 용매추출법에 의한 분리, 회수는 pH와 같은 조건에 따라 추출제 선택에 제한이 있고 부유물과 침전물을 쉽게 형성하여 용액에 함유된 다른 금속 원소들과의 분리가 어려워지는 문제점이 있다4,5). 반면에 이온교환수지를 사용하여 금속이온을 분리하는 경우에는 용액 내 금속 이온의 극성에 따라 이온교환 수지의 선택이 용이하고 금속 이온의 특성에 따른 분리가 가능하므로 용액 내 미량의 금속 이온의 선택적 분리가 가능하며 비슷한 화학적 특성을 가져 분리가 어려운 금속원소의 분리도 가능하다6).
Wu 등은 강염기성 이온교환 수지 Amberlite IRA900을 통해 강염기 조건에서 SCR 탈질 폐촉매로부터 텅스텐을 98% 순도로 회수하였다고 보고하였고 Jeon 등은 SCR 탈질 폐촉매로부터 상용 음이온 교환수지 MP600으로 바나듐을 분리하는 연구를 수행하였다4,7). Hu 등은 강염기성 이온교환 수지 D296을 통해 pH 7.2에서 바나듐을 선택적으로 흡착하여 몰리브덴과 분리하는 연구를 수행하였고 Yeh 등은 SCR 탈질 폐촉매로부터 연속식 이온교환 반응기를 통해 PH 8에서 바나듐과 비소를 분리하였다고 보고하였다8,9).
이온교환수지를 사용해 SCR 탈질 폐촉매로부터 텅스텐과 바나듐을 회수하는 연구와 특정 pH 조건에서 이온교환법을 통해 금속을 분리하는 연구는 다양하게 선행되어 왔지만, SCR 촉매로부터 특정 pH 조건에서 바나듐을 선택적으로 회수함으로써 텅스텐과 분리하는 연구는 보고되지 않고 있다. 그러므로 본 연구에서는 SCR 탈질폐촉매 소다배소-수침출 공정을 통해 얻은 침출액으로부터 바나듐과 텅스텐의 분리/회수를 위한 흡착 반응에 영향을 미치는 인자들을 고찰하고, 이를 통하여 흡∙탈착 메커니즘을 규명하고자 하였다.
2. 시료 및 실험방법
2.1. 시료 및 장비
V과 W의 분리 및 회수를 위한 침출액을 제조하기 위해 사용한 SCR 탈질폐촉매의 조성을 Table 1에 나타내었다. 분쇄한 SCR 탈질폐촉매를 NaOH와 2:1의 비율로 혼합한 후 배소를 수행하였고 이온교환수지를 통한 V과 W의 흡착 특성을 규명하기 위하여 sodium metavanadate (NaVO3, M.W:121.93, ALDRICH, 99.9%), sodium tungstate dehydrate(Na2WO4∙2H2O, M.W: 329.85, SAMCHUN, 98.0~101.0%)와 sodium silicate(Na2SiO3, M.W : 122.06, OCI)를 증류수에 용해시켜 V과 W 500-1000 mg/L의 V, W 단일/혼합 모의용액과 V 100 mg/L, W 1000 mg/L, Si 200 mg/L의 V, W, Si 혼합 모의용액을 제조하였으며, Lanxess사의 porous type의 강염기성 음이온교환수지 Lewatit monoplus MP 600을 사용하였다.
Table 1.
Elemental compositions of spent SCR catalyst
| Component | TiO2 | SiO2 | WO3 | Al2O3 | CaO | V2O5 | FeO | MgO | MoO3 | H2O |
| wt % | 70.9 | 9.80 | 7.73 | 5.57 | 2.50 | 1.23 | 0.77 | 0.55 | 0.10 | 0.85 |
2.2. 실험방법
분쇄한 SCR 탈질폐촉매를 NaOH와 2:1의 비율로 혼합한 후 800℃에서 6시간 동안 muffle furnace로 소다배소를 수행하였다. 배소 후 생성물을 증류수로 침출한 후 침출액과 잔사를 분리하였고 침출액 내 V, W, Si의 함량을 ICP-AES(inductively coupled plasma atomic emission spectroscopy, Optima 8300, PerkinElmer)를 통하여 분석하였다.
V과 W의 흡착 특성을 평가하기 위해 sodium metavanadate와 sodium tungstate dehydrate를 증류수에 용해하여 모의용액을 제조하였고, 이를 사용하여 이온교환수지 첨가량 실험, 용액의 초기 pH 실험, 반응속도 실험을 수행하였다. 흡착평형에 도달한 이온교환수지를 증류수로 세척 후 탈착 실험을 진행하였다. 흡∙탈착 실험은 250 ml Pyrex를 반응기로 사용하여 회분식으로 수행하였으며, 항온진탕기(Shaking incubator, Si-600R, JEIO TECH)를 이용하여 25℃의 등온 조건에서 200 rpm의 교반 속도로 24시간 동안 수행하였다.
침출액에 함유된 Si가 V과 W의 흡착에 미치는 영향을 알아보기 위하여 sodium metavanadate, sodium tungstate dehydrate와 sodium silicate를 증류수에 용해시켜 모의용액을 제조하여 실험을 수행하였다. 소다배소-수침출 공정으로 제조한 침출액의 Si를 제거하기 위하여 황산을 사용하였으며, ICP 분석을 통해 pH 조건에 따른 Si 제거효율을 알아보았다. 생성된 Si 화합물은 멤브레인 필터를 통해 여과하였으며, 흡착 실험을 통하여 V과 W를 분리하는 최적의 pH 조건을 선정하였다.
3. 결과 및 고찰
3.1. V, W의 흡착 특성
3.1.1. 이온교환수지 첨가량의 영향
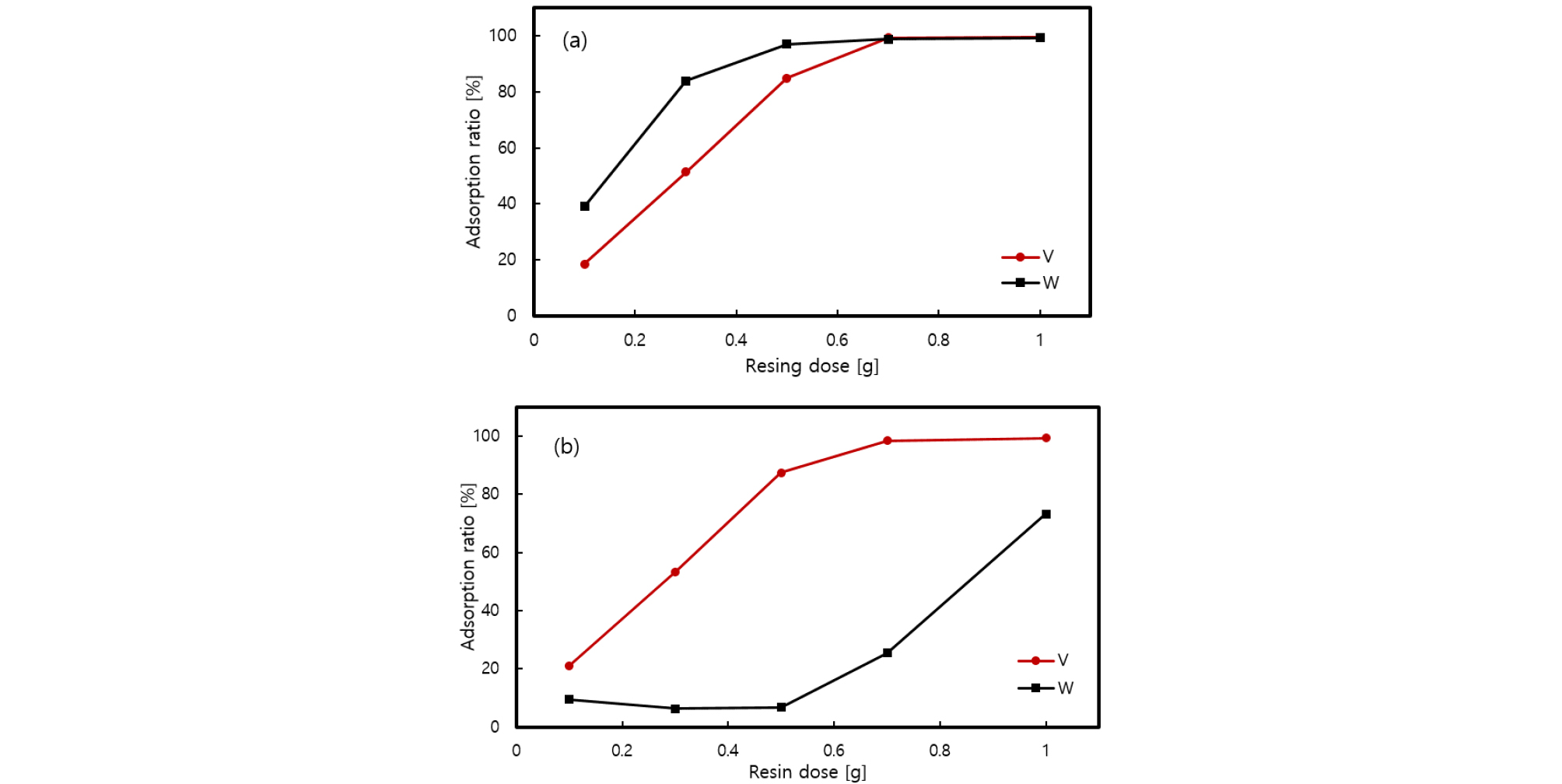
이온교환수지의 첨가량에 따른 흡착 특성을 알아보기 위해 V과 W 함량이 각각 500 mg/L인 모의용액 100 mL에 0.1 g-1.0 g의 이온교환수지를 첨가하여 24시간동안 흡착 실험을 수행하였다. Fig. 1(a)에 따르면 V은 이온교환수지 첨가량이 0.7 g일 때, W은 첨가량이 0.5 g일 때 흡착평형에 도달하였다. 그러나 Fig. 1(b)에서와 같이 V, W의 혼합 용액에서는 단일성분 용액과 달리 W 흡착률의 저하가 나타났는데, 이는 용액의 초기 pH가 8-8.5 사이였기 때문이며 이에 대한 이유는 3.1.2에 나타내었다.
3.1.2. 초기 pH의 영향
흡착 반응에서 용액의 초기 pH에 따라 용액 내 이온의 형태가 달라지거나 흡착제의 성능에 영향을 미칠 수 있기 때문에 pH는 중요한 영향을 미치는 변수로 작용한다. 또한, 회분식 반응기에서 흡착 반응 중 용액의 pH 조절은 매우 어렵기 때문에 용액의 초기 pH를 적절하게 설정하는 것은 매우 중요하다5). 용액의 초기 pH의 영향을 확인하기 위해 HCl과 NaOH로 초기 pH를 조절한 V 500 mg/L, W 500 mg/L 농도의 모의용액 100 ml에 이온교환수지를 0.5 g 첨가한 후 24시간동안 실험을 진행하였다.
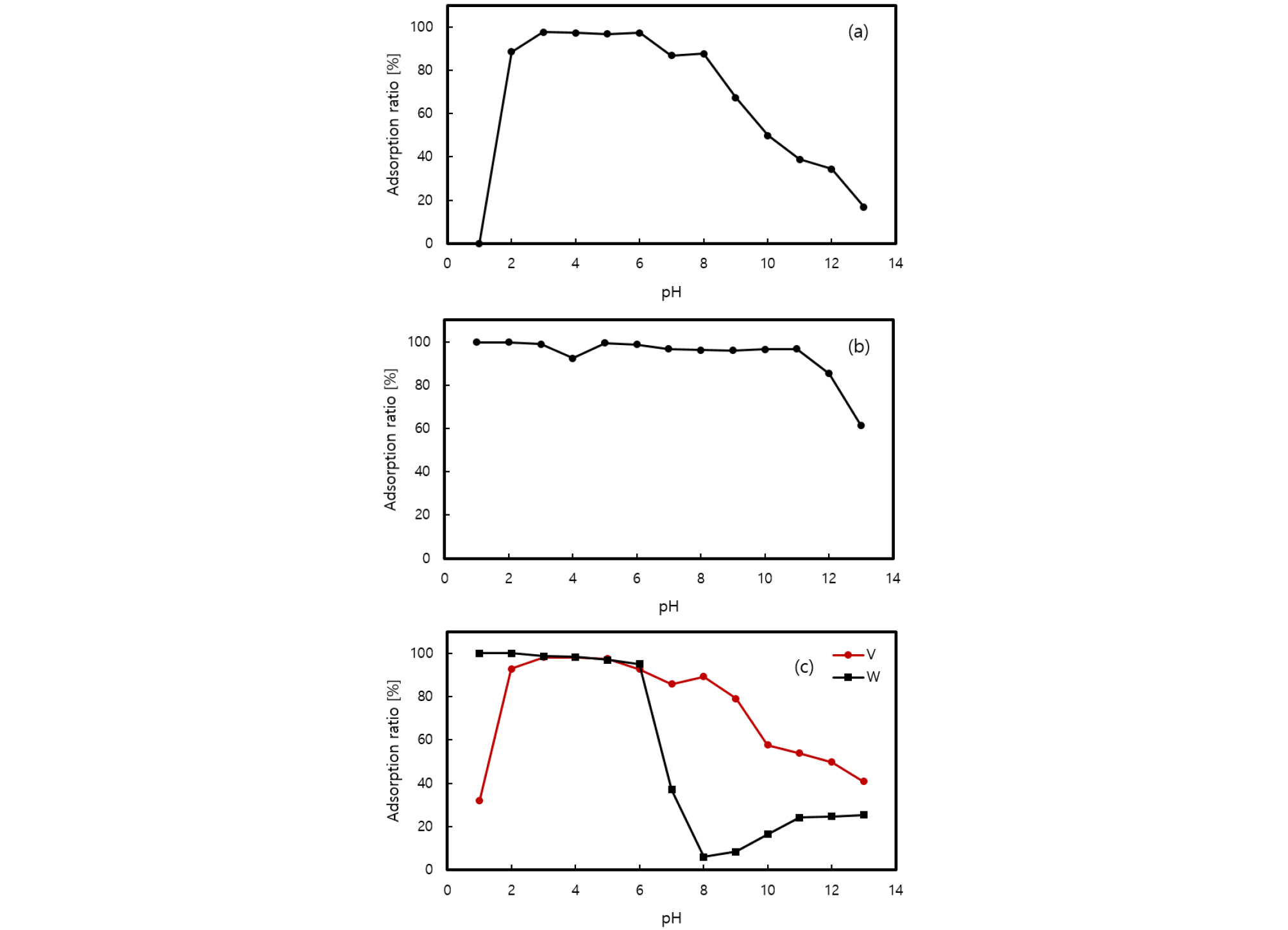
Fig. 2(a)에서와 같이 V 단일용액의 경우 pH 3-6에서는 90% 이상의 높은 흡착률을 보였고 pH 2, 7, 8에서는 이보다 낮은 흡착률을 보였으며 pH 1과 pH 9-13에서는 60% 이하의 낮은 흡착률을 보였다. 이는 pH 1에서 V이 양이온으로 존재하고 pH 2-8에서는 V이 안정된 음이온 화합물을 형성하기 때문이라고 판단된다4,10). Fig. 2(b)에 나타낸 W 단일용액의 경우 pH 1-11에서 90% 이상의 높은 흡착률을 보였으나 pH 12이상의 강염기 영역에서는 보다 낮은 흡착률을 보였다. W의 Eh-pH diagram16)에 따르면 pH가 높을수록 용액 내 WO42-가 차지하는 비율이 증가하고 pH가 낮아지면 pH에 따라 다양한 형태의 폴리옥소메탈레이트(polyoxometalate)음이온으로 존재한다11). 따라서 W은 WO42- 이온 형태로는 이온교환수지에 잘 흡착되지 않는다고 판단된다5). Fig. 2(c)에 나타낸 V, W 혼합 용액의 경우 V은 단일용액에서의 흡착 결과와 유사한 경향을 보였으나 pH 1과 pH 9 이상에서는 단일용액보다 약간 높은 흡착률을 보였고, W의 경우 pH 1-6에서 단일 용액과 동일한 경향을 보였으나 pH 7-13에서 현저히 낮은 흡착률을 보였으며 특히 pH 8에서 가장 큰 V과 W의 흡착률 차이를 보였다. Fig. 312)에서 농도와 pH에 따른 수용액 상 V 이온의 형태에 따르면 pH 8 일 때 용액[log CV (total)=-2~-1.66]에서 V은 대부분 V3O93-이온으로 존재하고, Eh-pH diagram에 따르면 W은 수용액에서 W7O246-와 H2W12O4210- 이온으로 존재한다. 이에 따라 pH 8에서 V3O93-이온이 W7O246-와 H2W12O4210이온보다 우선 흡착된다고 사료된다.
3.1.3. 흡착등온식에 따른 흡착 특성
흡착제의 흡착 특성과 흡착성능은 다양한 흡착등온식을 사용하여 평가할 수 있다. 흡착등온식은 흡착제의 흡착평형이 이루어진 것을 기반으로 하여 일정한 온도에서 흡착제의 단위 중량당 평형 흡착량과 흡착질의 평형 농도를 나타낸다. 이를 통해 흡착 메커니즘을 규명하기 위해 Langmuir, Freundlich 흡착등온식에 얻어진 데이터를 적용하였다.
Langmuir 흡착은 균일한 흡착제 표면에 대해 단분자층에서만 흡착이 일어나므로 그 이상 분리된 층에서는 흡착이 일어나지 않는다고 가정하며 흡착되는 이온들 사이에 상호작용이 없다고 가정한다. Langmuir 흡착등온식은 식 (1)의 직선 식으로 표현된다.
| $$\frac{C_e}{q_e}=\frac{C_e}{q_m}+\frac1{q_mb}$$ | (1) |
이 때, Ce는 흡착질의 평형농도[mg/L], qe는 흡착제 단위 중량당 흡착된 흡착질의 양[mg/g], qm은 사용한 흡착제에 흡착될 수 있는 흡착질의 최대 양[mg/g], b는 Langmuir 상수와 관련된 평형상수이다.
Freundlich 흡착등온식은 Langmuir 흡착등온식에 흡착열이 표면덮힘의 정도에 따라 지수적으로 감소한다는 내용을 도입하여 유도된 식으로 식 (2)로 표현된다.
| $$\log q_e=\frac1n\log C_e+\log K_f$$ | (2) |
이 때, Kf[mg1-(1/n)L1/ng-1]와 n은 Freundlich 상수이다. Kf는 흡착제의 흡착용량에 대한 척도로써 클수록 흡착용량이 양호함을 의미하고 n은 흡착동력의 크기를 나타내는 것으로 일반적으로 n이 2 이상일 때 흡착이 쉽게 일어나며 1 이하인 물질은 난흡착성이다13).
V과 W의 Langmuir 흡착등온선과 Freundlich 흡착등온석을 각각 Fig. 4과 Fig. 5에 나타내었으며 각각의 흡착등온식에 따른 상숫값을 Table 2에 나타내었다. Table 2에서와 같이 V과 W 모두 R2의 값이 Freundlich 흡착등온식에서의 값보다 Langmuir 흡착등온식에서 1에 근사함으로 Langmuir 흡착등온식이 적합하다. 따라서 이온교환수지를 통한 V과 W의 흡착은 단분자층 흡착임을 알 수 있다. 하지만, W의 경우 두 흡착등온식의 차이가 크지 않았는데 이는 W 이온의 폴리옥소메탈레이트(polyoxometalate) 이온 간의 결합 때문에 다분자층 흡착과 유사한 형태를 띄기 때문이라고 사료된다5).
Table 2.
Langmuir isotherm and Freundlich isotherm constant
| Langmuir isotherm | Fruendlich isotherm | |||||
| qm [mg/g] | b [L/mg] | R2 | Kf [mg1-(1/n)L1/ng-1] | 1/n | R2 | |
| V | 96.154 | 5.780 | 0.9998 | 68.929 | 0.0832 | 0.7510 |
| W | 87.719 | 1.727 | 0.9762 | 61.518 | 0.141 | 0.9555 |
3.1.4. 흡착반응속도모델
1000 mg/L 농도의 V, W 모의용액으로 반응속도 실험을 수행하였다. 이온교환수지에 대한 V, W 이온의 흡착반응속도에 대한 정량적 분석을 위해 유사 1차 반응속도 모델(pseudo-first-order)과 유사 2차 반응속도 모델(pseudo- second-order)을 사용하였다.
유사 1차 반응속도식은 Lagergren에 의해 흡착제와 흡착질 간의 반응속도와 평형상태의 흡착량 관계를 밝히기 위해 경험적으로 제시되었고 수용액상 용질의 흡착과정을 알기 위해 널리 사용되는 속도식 중 하나이다. 유사 1차 반응속도식을 식 (3)에 나타내었다.
| $$\frac{dq}{dt}=k_1(q_c-q_t)$$ | (3) |
이때, k1은 1차 반응속도 상수[min-1], qt는 반응시간 t에서 흡착제 표면에서의 흡착량[mg/g], t는 시간[min]을 나타낸다. 식 (3)을 선형으로 나타내면 식 (4)과 같다.
| $$\ln(q_e-q_t)=\ln q_e-k_1t$$ | (4) |
유사 2차 반응속도식은 고체상의 흡착평형능력을 바탕으로 하고있으며, 식 (5)와 같이 표현된다.
| $$\frac{dq}{dt}=k_2(q_c-q_t)^2$$ | (5) |
이때, k2는 2차 반응속도 상수[g/mg∙min] 이다. 유사 2차 반응속도식은 다양한 형태의 직선식으로 나타낼 수 있는데 그 중 가장 보편적으로 사용되는 직선식을 식 (6)에 나타내었다.
| $$\frac tq=\frac1{k_2q_e^2}+\frac t{q_e}$$ | (6) |
식 (6)으로 나타낸 직선의 기울기와 절편으로부터 k2, h, qe를 구할 수 있다. 이 때, h[mg/g∙min]는 초기 흡착률이며 식 (7)을 통해 구할 수 있다14).
| $$h=k_2q_e^2$$ | (7) |
V과 W의 흡착속도실험 결과를 각각 Fig. 6와 Fig. 7에 나타내었으며 직선식으로부터 얻은 상숫값을 Table 3에 나타내었다. Table 3에 의하면 V과 W 흡착 반응 모두 유사 2차 반응의 R2이 유사 1차 반응보다 1에 근접하고 실험에 의한 평형 흡착량(qe,exp)또한 유사 1차 반응에서 산출된 값보다 유사 2차 반응에서 얻은 값과 유사함으로 유사 2차 반응에 적합함을 알 수 있다.
Table 3.
Pseudo-first-order and pseudo-second-order rate constant
| Pseudo-first-order | Pseudo-second-order | Experiment | ||||||
| k1 | qe | R2 | k2 | qe | h | R2 | qe,exp | |
| V | 0.0028 | 22.59 | 0.3825 | 0.00068 | 97.087 | 6.481 | 0.9993 | 94.16 |
| W | 0.0014 | 7.769 | 0.1295 | 0.0029 | 140.845 | 56.818 | 0.9998 | 140.42 |
3.2. 침출액 내 V과 W 이온의 분리
3.2.1. 침출액에서 V과 W의 흡착특성
Fig. 2(c)에서의 V과 W의 혼합용액에서 초기 pH의 영향이 흡착률에 미치는 영향에 따르면 pH가 7에서 9 사이일 때 W의 흡착률이 감소하며 V의 선택적인 흡착이 가능하다. 침출액의 V과 W의 농도는 각각 1100 mg/L, 11000 mg/L로 농도비 1:10에서 V만 흡착하기 위한 이온교환수지의 첨가량을 확인하기 위해 V 100 mg/L, W 1000 mg/L모의용액을 통해 실험을 수행하였으며 이 때 모의용액의 pH는 8이였다. Fig. 8에서와 같이 이온교환수지의 첨가량이 0.1 g인 경우에는 V과 W 둘다 낮은 흡착률을 보였고 0.2 g일 때 V이 흡착평형에 도달하였으며 0.3 g일 때 V에 이어 W의 흡착률이 증가하기 시작하였다.
앞서 수행한 실험과 같이 V, W의 농도비가 1:10인 침출액으로부터 초기 pH에 따른 V, W의 선택적 흡착에 의한 분리 여부를 규명하기 위해 NaOH와 H2SO4로 pH를 조절한 모의용액에 이온교환수지를 0.2 g 첨가하여 수행한 흡착실험 결과를 FIg. 9에 나타내었다. Fig. 9에서와 같이 pH 6.5전에서는 V과 W이 비슷한 흡착률을 보였지만 pH가 증가하며 V의 흡착률은 증가하고 W의 흡착률은 감소하였다. 특히, pH 8.5 전후에서 높은 V 흡착률과 낮은 W 흡착률을 보였는데 이는 Fig. 2(c)에 나타낸 결과와 유사하다.
3.2.2. Si의 제거
수용액 상에서 Si는 H3SiO4- 형태로 존재하게 되는데, 이는 식 (8)과 같이 강염기성음이온 교환수지의 Cl- 교환기와 이온교환에 의한 흡착반응이 일어난다15).
| $${\mathrm H}_3{{\mathrm{SiO}}_4^-}_{\mathrm s}+\mathrm{Cl}^-\mathrm R\leftrightarrow{\mathrm H}_3{{\mathrm{SiO}}_4^-}_{\mathrm R}+{\mathrm{Cl}^-}_{\mathrm S}$$ | (8) |
이때, R은 이온교환 수지에 존재하는 경우이고, S는 수용액에 존재하는 경우를 의미한다. 따라서, 용액 내 Si가 존재할 경우 Si가 이온교환수지에 흡착하며 V의 흡착을 저해하게 되는데 이를 규명하기 위하여 V, W, Si의 비율이 1:10:2인 모의용액을 제조하여 흡착실험을 진행하였다. Fig. 10에서와 같이 Si가 존재하지 않은 용액에 비하여 Si가 존재한 용액에서의 V과 W의 흡착률이 모두 절반으로 감소하였다.
수용액 상에 염이 존재하지 않을 때 용액의 pH가 7에서 10사이면 Si는 콜로이드를 형성하고 염이 존재하는 경우 응집된다15). 이를 통해 흡착을 저해하는 Si를 제거하기 위하여 H2SO4를 첨가하여 pH가 13인 침출액의 pH를 감소시켰다. 이때, 용액의 pH가 9 이하가 되었을 때 Si의 화합물이 생성되기 시작하였다. Si를 제거함과 동시에 용액의 초기 pH를 8 전후로 조절하여 V의 선택적 흡착이 가능하므로 pH 7.5, pH 8.0, pH 8.5에서의 Si의 제거율을 확인하는 실험을 수행하였다. Fig. 11에 따르면 pH 8.5에서 약 70%의 제거율을 보였고 pH 8.0과 pH 7.5에서는 약 80%의 제거율을 보였다.
3.2.3. 침출액 내 V과 W의 분리
Si를 제거 및 pH를 조절한 침출액을 사용하여 수행한 흡착실험으로부터 V과 W의 흡착률을 Fig. 12에 나타내었다. pH 7.5, 8.0, 8.5에서 V의 흡착률은 모두 90% 이상이었고 W의 흡착률은 pH가 증가할수록 감소하였으며, 특히 pH 8.5에서는 W의 흡착이 이루어지지 않았다.
3.3. 탈착
탈착용액의 농도가 탈착에 미치는 영향을 확인하기 위한 실험을 진행하였다. 탈착용액은 HCl과 NaOH를 사용하여 1M, 2M, 3M의 농도로 제조하였고 탈착에 사용한 이온교환수지는 흡착평형에 도달한 후 증류수로 세척하여 사용하였다. 이온교환수지에 탈착용액 100 mL를 첨가하고 6시간 동안 교반하였다. V는 Fig. 13에서와 같이 HCl과 NaOH 모두에서 탈착되었으며 W는 NaOH에서만 탈착되었다. NaOH의 농도가 증가할수록 W는 탈착률이 증가하였고 V는 일정한 탈착률을 보였다. 반면에 HCl에서는 2M일 때 가장 높은 V 탈착률을 보였다.
Si를 제거하고 pH 8.5로 적정한 침출액에서 흡착실험을 수행한 이온교환수지는 증류수로 세척한 후 V의 선택적 탈착을 위해 2M의 HCl 용액으로 탈착실험을 수행하였으며, 87%의 V가 탈착되었다.
4. 결 론
SCR 탈질폐촉매로부터 소다배소-수침출 공정을 통해 제조한 침출액에서 V과 W의 분리 및 회수를 위한 흡착 반응에 영향을 미치는 인자들을 고찰하고 흡착 메커니즘을 규명하기 위한 실험을 통하여 다음과 같은 결론을 얻을 수 있었다.
- V과 W의 혼합용액에서 pH 8 전후로 용액내 존재하는 V과 W 이온의 전하 차이로 인해 V의 흡착률이 W에 비하여 월등히 높았다.
- 등온흡착 실험에서 V과 W 모두 Langmuir 등온흡착식이 적합하였으나 W는 폴리옥소메탈레이트 이온에 의한 결합 때문에 다분자층 흡착과 유사한 형태를 보였다. 또한, 반응속도실험에서 V과 W 모두 유사 2차 반응에 적합하였다.
- 침출액에 존재하는 Si 이온은 H3SiO4- 형태로 존재하며, 이에 따라 강염기성 음이온 교환수지의 Cl- 교환기와 교환반응이 일어나 V과 W 이온의 흡착률을 감소시켰다. pH 7-10에서 Si는 콜로이드를 형성한 후 응집되므로 H2SO4를 첨가하여 pH 7.5-8.5에서 Si를 제거하였다.
- Si가 제거된 침출액에서의 흡착실험 결과, W의 흡착이 최소가 되는 pH 8.5에서 V의 선택적 흡착에 의한 분리가 가능함을 알 수 있다.
- NaOH 탈착용액에서는 V, W 모두 탈착되었고, HCl 탈착용액에서는 V의 선택적 탈착이 가능했으며, 특히 2M HCl 탈착용액에서 87%의 V이 탈착되었다.















